| 查看: 330 | 回复: 2 | ||
[求助]
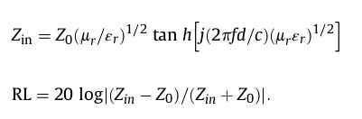
求助计算微波反射损失RL值
|
|
这里的tanh是指的什么?还有这个虚部是什么意思?是与得到的复数相乘吗?谢谢大家了。关于计算RL值有什么软件或者程序吗?再次谢谢大佬们! 发自小木虫Android客户端 |
» 猜你喜欢
材料科学与工程求调剂
已经有13人回复
考研调剂
已经有3人回复
309求调剂
已经有17人回复
省双一流重点一本大学招收调剂
已经有5人回复
复试调剂
已经有7人回复
267求调剂
已经有4人回复
359求调剂
已经有4人回复
一志愿北京科技大学材料学硕328分求调剂
已经有4人回复
08工科275分求调剂
已经有4人回复
309分085801求调剂
已经有3人回复
2楼2017-11-18 13:33:09
3楼2017-11-18 13:33:25














回复此楼