| 查看: 2186 | 回复: 1 | ||||
晋鹏版主 (知名作家)
|
[交流]
[优秀文章推荐]中科院揭示亚热带山地森林附生地衣物种的垂直分布模式
|
|
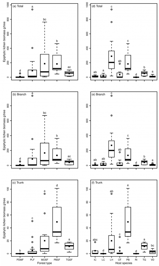
地衣(又称地衣型真菌)作为菌藻共生的特殊生物类群,是森林林冠亚系统的重要组成成分,在森林系统中发挥着重要的生态功能。由于受其个体微小、物种鉴定困难以及进入林冠调查采样技术手段等方面的限制,地衣尤其是林冠附生地衣的生态学研究远远滞后于其他学科。在森林保护与管理中,地衣类群也未得到相关的重视。并且,相对于其水平分布研究而言,附生地衣垂直分布的研究资料更加匮乏。科学家对于不同森林系统内附生地衣的物种分布是否存在空间垂直分布模式的科学问题,迄今尚无法回答。 附生地衣是山地森林生态系统的重要组分,在森林水文过程和养分循环中发挥着重要的作用。另一方面,虽然地衣生物量相对较低,但却为许多脊椎和无脊椎动物提供了重要的食物来源、筑巢材料以及庇护场所。在以往的相关研究中,人们对地衣物种组成与多样性做过较多的研究,但有关亚热带森林附生地衣的生物量及其垂直分布模式则鲜有研究。 中科院版纳植物园采取新近倒木和林冠攀爬采样相结合的方法,对云南哀牢山徐家坝地区5种不同类型森林群落内附生地衣生物量及其垂直分布模式进行了调查研究,其结果发现:本地区5种森林群落的附生地衣现存生物量存在较大的差异,其变幅为71-1180 kg/ha,次生林具有相对较高的生物量;而且其中60%以上的地衣生物量主要分布于树枝;附生地衣的生物量及其垂直分布均受到森林类型和树种的显著影响;不同地衣功能团的生物量的分布模式差异显著,且与森林类型密切相关。总的来看,附生地衣的生物量垂直模式明显不同于其物种多样性的分布模式。以上研究结果为深入研究亚热带山地森林生态系统中附生地衣的空间分布特征,促进我国亚热带森林的有效保护与管理提供了科学依据。 |
» 收录本帖的淘帖专辑推荐
农林进展 |
» 猜你喜欢
青椒八年已不青,大家都被折磨成啥样了?
已经有5人回复
青年基金C终止
已经有3人回复
26申博求博导推荐-遥感图像处理方向
已经有4人回复
限项规定
已经有7人回复
救命帖
已经有8人回复
招博士
已经有4人回复
西南交通大学国家级人才团队2026年博士研究生招生(考核制)—机械、材料、力学方向
已经有3人回复
英文综述是否需要润色及查重
已经有5人回复
为什么nbs上溴 没有产物点出现呢
已经有9人回复
» 本主题相关商家推荐: (我也要在这里推广)

晋鹏
版主 (知名作家)
- 应助: 626 (博士)
- 贵宾: 0.096
- 金币: 27590.2
- 散金: 1052
- 红花: 288
- 沙发: 2
- 帖子: 5663
- 在线: 726.4小时
- 虫号: 1183978
- 注册: 2011-01-05
- 性别: GG
- 专业: 生物信息学
- 管辖: 农林

2楼2018-01-19 22:14:17













回复此楼
