| 查看: 954 | 回复: 5 | ||
1450901485新虫 (小有名气)
|
[求助]
扩散系数 已有1人参与
|
|
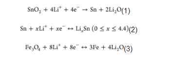
有没有会计算锂离子扩散系数的大神,求指导,就是那个电子转移数和材料中锂离子浓度这两相很疑惑,怎么算的,有没有计算过的大神啊 比如下图这个,转子电子数第一相是4第二个是未知,第三个是8,那转子电子数是4+8+x 吗?那x怎么确定,,很疑惑啊。。。。 发自小木虫Android客户端 |
» 猜你喜欢
南大化学调剂
已经有11人回复
硫酸钠溶液浓度与密度曲线
已经有0人回复
分析化学论文润色/翻译怎么收费?
已经有206人回复
0703调剂
已经有4人回复
1
已经有21人回复
0703 调剂
已经有6人回复
招收
已经有0人回复
西南某211招27届博士
已经有30人回复
大连工业杰青/长江团队-生物质材料-储能电池方向招收2026级博士生
已经有0人回复
求调剂一志愿海大,0703化学学硕304分,有大创项目,四级已过
已经有10人回复
» 本主题相关商家推荐: (我也要在这里推广)
张100730227
至尊木虫 (知名作家)
- 应助: 145 (高中生)
- 金币: 20917.1
- 散金: 37
- 红花: 46
- 帖子: 5434
- 在线: 852.9小时
- 虫号: 1499833
- 注册: 2011-11-19
- 专业: 电化学

2楼2017-11-17 18:15:58
1450901485
新虫 (小有名气)
- 应助: 0 (幼儿园)
- 金币: 144.1
- 散金: 24
- 红花: 3
- 帖子: 182
- 在线: 56.8小时
- 虫号: 3131650
- 注册: 2014-04-12
- 专业: 电化学
3楼2017-11-17 22:02:49
张100730227
至尊木虫 (知名作家)
- 应助: 145 (高中生)
- 金币: 20917.1
- 散金: 37
- 红花: 46
- 帖子: 5434
- 在线: 852.9小时
- 虫号: 1499833
- 注册: 2011-11-19
- 专业: 电化学

4楼2017-11-17 22:13:10
1450901485
新虫 (小有名气)
- 应助: 0 (幼儿园)
- 金币: 144.1
- 散金: 24
- 红花: 3
- 帖子: 182
- 在线: 56.8小时
- 虫号: 3131650
- 注册: 2014-04-12
- 专业: 电化学
5楼2017-11-17 22:56:43
6楼2018-05-17 10:18:07













回复此楼
1450901485