| 查看: 309 | 回复: 2 | ||
[求助]
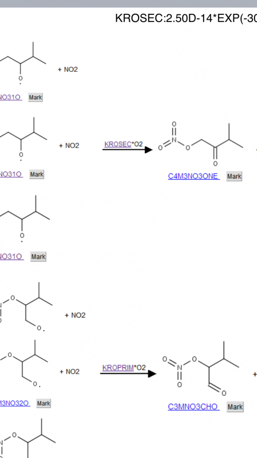
主化学机制MCM中反应速率KROSEC*O2中的O2代表什么
|
|
具体见图 发自小木虫IOS客户端 |
» 猜你喜欢
浙江大学徐腾飞研究员招聘环境科学、组学分析、生信、环境科学、模拟计算等背景博士后
已经有1人回复
浙江大学徐腾飞研究员招聘代谢组学、蛋白组学、生信、环境科学、模拟计算等背景博士后
已经有2人回复
化学工程及工业化学论文润色/翻译怎么收费?
已经有144人回复
催化剂研究及开发
已经有0人回复
26申博自荐-环境毒理方向
已经有1人回复
硫酸镍结晶
已经有0人回复
接收环境科学方向调剂生1-2名
已经有2人回复
招收2026级环境科学方向(专业代码083001)硕士研究生1-2名
已经有4人回复
招收2026级环境科学方向(专业代码083001)硕士研究生1-2名
已经有14人回复
武汉纺织大学化学与化工学院招调剂,过线就要
已经有0人回复
329求调剂,一志愿西北工业大学,材料工程(085601)
已经有13人回复
2楼2017-11-17 00:12:18
本特克
木虫 (著名写手)
- 应助: 0 (幼儿园)
- 金币: 5179.8
- 散金: 200
- 红花: 18
- 帖子: 1501
- 在线: 1305.9小时
- 虫号: 5217792
- 注册: 2016-11-09
- 性别: GG
- 专业: 环境分析化学
3楼2017-11-17 01:18:52














回复此楼