24小时热门版块排行榜    

Znn3bq.jpeg
查看: 277  |  回复: 0

nep0225

新虫 (初入文坛)

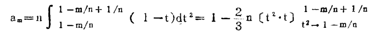
[交流] 流体力学:早起论文中的一个公式实在看不懂,请指教!(管内横截面平均速度)

第二个等号后看不懂积分下标,怎么还出现剪头了?本来挺简单的一个积分。。。
上下文具体见上传的pdf!
感谢了!流体力学:早起论文中的一个公式实在看不懂,请指教!(管内横截面平均速度)
捕获.PNG
回复此楼

» 本帖附件资源列表

  • 欢迎监督和反馈:小木虫仅提供交流平台,不对该内容负责。
    本内容由用户自主发布,如果其内容涉及到知识产权问题,其责任在于用户本人,如对版权有异议,请联系邮箱:xiaomuchong@tal.com
  • 附件 1 : 用对数线性法测量管流横截面平均速度_周诚.pdf
  • 2017-11-14 20:36:20, 386.26 K

» 猜你喜欢

已阅   回复此楼   关注TA 给TA发消息 送TA红花 TA的回帖
相关版块跳转 我要订阅楼主 nep0225 的主题更新
普通表情 高级回复 (可上传附件)
最具人气热帖推荐 [查看全部] 作者 回/看 最后发表
[硕博家园] 我在等一个没有答案的答案 +3 Love_MH 2026-05-17 3/150 2026-05-18 02:22 by 竹林孤影
[基金申请] 今年审到国自然15份,谈谈感受 +9 国自然国社科中 2026-05-17 9/450 2026-05-17 21:14 by 雪城001
[考研] 售SCI一区T0P文章,我:8.O.5.5.1.O.5.4,科目齐全,可+急 +4 xx7gd5zq4e 2026-05-15 6/300 2026-05-17 19:36 by Equinoxhua
[考博] 找博士生导师 +4 小代想上岸 2026-05-15 5/250 2026-05-17 17:44 by 脱颖而出
[教师之家] 上海大学实验技术岗位非升即走 +7 嘻嘻哈哈乐呵呵 2026-05-15 7/350 2026-05-17 16:58 by songwz
[考博] 2026博士还有哪些学校有名额 +6 小王求读研 2026-05-15 7/350 2026-05-17 16:54 by 知音湖畔
[考博] 西南大学考核制博士 +5 lijunjie84 2026-05-11 8/400 2026-05-17 14:21 by 鹅鹅鹅鹅aaa
[基金申请] 这年头没有找到涵评专家,还有中面上的可能吗 +13 dd921ww 2026-05-12 16/800 2026-05-17 12:38 by 于轩
[公派出国] 售SCI一区T0P文章,我:8.O.5.5.1.O.5.4,科目齐全,可+急 +6 l7k6xnh0yc 2026-05-14 6/300 2026-05-17 07:16 by 11n4dfd8yn
[硕博家园] 售SCI一区T0P文章,我:8.O.5.5.1.O.5.4,科目齐全,可+急 +5 cjf4bx70cj 2026-05-14 7/350 2026-05-17 06:55 by 11n4dfd8yn
[找工作] 售SCI一区T0P文章,我:8.O.5.5.1.O.5.4,科目齐全,可+急 +3 k37jurhrau 2026-05-16 3/150 2026-05-17 01:37 by ue3ir18jc3
[博后之家] 售SCI一区T0P文章,我:8.O.5.5.1.O.5.4,科目齐全,可+急 +4 k37jurhrau 2026-05-16 4/200 2026-05-17 01:35 by ue3ir18jc3
[基金申请] 精华III评审感受-评审感受-评审感受 +16 ferrarichen 2026-05-11 20/1000 2026-05-17 01:10 by 南开小綦
[考博] 售SCI一区T0P文章,我:8.O.5.5.1.O.5.4,科目齐全,可+急 +3 ky2p12rrjj 2026-05-15 4/200 2026-05-17 00:57 by ue3ir18jc3
[硕博家园] 售SCI一区T0P文章,我:8.O.5.5.1.O.5.4,科目齐全,可+急 +3 ky2p12rrjj 2026-05-15 3/150 2026-05-17 00:45 by ue3ir18jc3
[公派出国] 售SCI一区T0P文章,我:8.O.5.5.1.O.5.4,科目齐全,可+急 +3 x0mp7owy2b 2026-05-15 4/200 2026-05-17 00:35 by ue3ir18jc3
[论文投稿] 售SCI一区T0P文章,我:8.O.5.5.1.O.5.4,科目齐全,可+急 +5 x0mp7owy2b 2026-05-15 5/250 2026-05-17 00:29 by xiangfeng
[考博] 现在不知道怎么办,感觉很痛苦 +5 qweww 2026-05-11 6/300 2026-05-16 19:57 by Equinoxhua
[高分子] 本人最近太闲了,谁有问题可以提,每天会统一回复 +9 一切都是空工 2026-05-12 20/1000 2026-05-16 19:52 by Equinoxhua
[硕博家园] 售SCI一区T0P文章,我:8.O.5.5.1.O.5.4,科目齐全,可+急 +3 k37jurhrau 2026-05-16 3/150 2026-05-16 13:57 by vcdazktkjx
信息提示
请填处理意见