版块导航
正在加载中...
客户端APP下载
论文辅导
申博辅导
登录
注册
帖子
帖子
用户
本版
应《网络安全法》要求,自2017年10月1日起,未进行实名认证将不得使用互联网跟帖服务。为保障您的帐号能够正常使用,请尽快对帐号进行手机号验证,感谢您的理解与支持!
24小时热门版块排行榜
>
论坛更新日志
(550)
>
虫友互识
(47)
>
公派出国
(27)
>
导师招生
(15)
>
教师之家
(9)
>
硕博家园
(8)
>
论文投稿
(8)
>
休闲灌水
(6)
>
基金申请
(4)
>
外文书籍求助
(4)
>
考博
(4)
>
论文道贺祈福
(2)
>
文献求助
(2)
>
考研
(2)
>
专业外语
(1)
>
博后之家
(1)
小木虫论坛-学术科研互动平台
»
生物医药区
»
分子生物
»
生物化学
»
各位大神帮忙看看这两个图是怎么转换的,小妹不胜感激(有关酶免疫标准曲线的制作的)
5
1/1
返回列表
查看: 534 | 回复: 5
只看楼主
@他人
存档
新回复提醒
(忽略)
收藏
在APP中查看
当前只显示满足指定条件的回帖,点击这里查看本话题的所有回帖
yangmeinayan
新虫
(初入文坛)
应助: 0
(幼儿园)
金币: 6.8
帖子: 4
在线: 1.1小时
虫号: 5162105
[交流]
各位大神帮忙看看这两个图是怎么转换的,小妹不胜感激(有关酶免疫标准曲线的制作的)
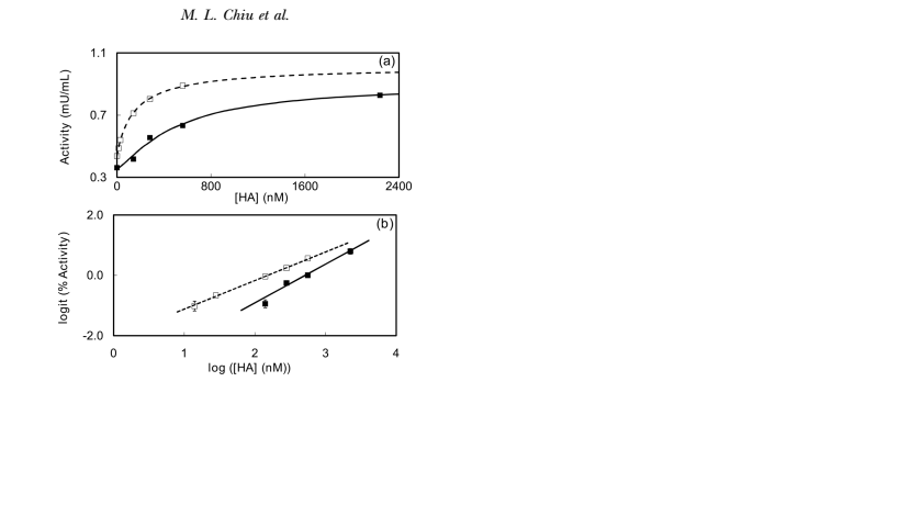
各位大神帮我看看第一个图是怎么转化成第二个图的,我想做一个相似的图,这是我的数据,第一列为X轴,第二列是Y轴,作出图来是第一种,想把它变成第二种,谢谢各位帅哥美女啦!
0 0.01
2.5 0.0113
5 0.0117
10 0.0123
20 0.0126
40 0.013
logit标准曲线.png
回复此楼
» 猜你喜欢
筑牢营养安全线:以精准检测,护健康基石
已经有0人回复
推荐一些20种氨基酸检测的实际应用案例
已经有0人回复
化学工程及工业化学论文润色/翻译怎么收费?
已经有178人回复
不合理蛙科研实验中的趣事:实验器材的 “乌龙”
已经有0人回复
不合理蛙科研实验中的趣事:和实验材料的 “斗智斗勇”
已经有0人回复
蛋白质检测:精准分析,解锁生物分子的密码
已经有0人回复
不合理蛙科研实验之小鼠实验:严谨设计,解析生命机制的重要载体
已经有0人回复
不合理蛙科研实验之重金属检测:精准筛查,守护健康与环境的防线
已经有0人回复
不合理蛙科研实验之“蛙测重金属我背锅三千”
已经有0人回复
不合理蛙科研实验之“鼠逃三次我发三篇SCI”
已经有0人回复
高级回复
» 抢金币啦!回帖就可以得到:
查看全部散金贴
双一流南京医科大学招计算机、AI、统计、生物信息等方向26年9月入学博士
+
1
/176
湖南师范大学医工交叉科研团队招收博士研究生
+
1
/174
江苏科技大学能源材料化学课题组张俊豪教授招收博士研究生1-2名
+
1
/83
上海大学管理学院阳发军教授课题组全职博士/博士后招聘启事
+
1
/83
中国海洋大学与中国水产科学研究院 联合培养 专硕 食品加工与安全
+
1
/78
最新看到一个观点:说高校教师的斩杀线是青基和面上
+
1
/69
衡水学院招收食品与营养方向联合培养研究生
+
1
/36
西南交通大学前沿院碳中和与物质循环利用课题组招收博士生
+
1
/30
【AI、水文方向】香港科技大学(广州)研究助理招聘
+
1
/28
深圳大学李天任博士课题组研究生招生信息
+
1
/26
南科大夏海平院士-深大张平玉课题组联合招聘博士后
+
1
/26
哈尔滨工业大学招收硕士研究生(欢迎环境、市政、生物、化学、农业等专业,长期有效)
+
1
/11
天津大学化学系吴立朋课题组申请考核制博士招生/博后招聘
+
1
/8
天津大学化学系吴立朋课题组申请考核制博士招生/博后招聘
+
1
/7
有多余纯化系统,20-200mm高压制备分离系统,配套齐全可对外代工、委托加工、项目合作
+
1
/3
湖南大学机械与运载工程学院赵岩副教授课题组招生2026级普通博士生1名
+
1
/3
经济学博士(金融方向)招生,211重点大学,2026年9月入学,申请-考核制。
+
1
/2
北京师范大学与企业联合招聘博士后、全职、兼职人员
+
1
/1
所以当初说在欧美生活𣎴用讲人情世故的人怎么生活的
+
1
/1
探究TGF-β在癌症免疫调控中的作用机制|肿瘤
+
1
/1
1楼
2017-11-08 21:26:21
已阅
回复此楼
关注TA
给TA发消息
送TA红花
TA的回帖
厄瑞斯
铜虫
(初入文坛)
应助: 2
(幼儿园)
金币: 193.5
帖子: 45
在线: 7.4小时
虫号: 3392793
★
yangmeinayan(金币+1): 谢谢参与
函数图像由对数转换为线性,你就照着两图换算X、Y轴数值就行。
发自小木虫Android客户端
赞
一下
回复此楼
高级回复
3楼
2017-11-09 12:18:54
已阅
回复此楼
关注TA
给TA发消息
送TA红花
TA的回帖
查看全部 6 个回答
aishida
禁虫
(职业作家)
★
yangmeinayan(金币+1): 谢谢参与
本帖内容被屏蔽
2楼
2017-11-08 22:23:23
已阅
回复此楼
关注TA
给TA发消息
送TA红花
TA的回帖
yangmeinayan
新虫
(初入文坛)
应助: 0
(幼儿园)
金币: 6.8
帖子: 4
在线: 1.1小时
虫号: 5162105
引用回帖:
3楼
:
Originally posted by
厄瑞斯
at 2017-11-09 12:18:54
函数图像由对数转换为线性,你就照着两图换算X、Y轴数值就行。
好像是由公式的,不知大神值不值到具体公式?若是取对数的话那log0怎么办?
赞
一下
回复此楼
5楼
2017-11-22 08:58:58
已阅
回复此楼
关注TA
给TA发消息
送TA红花
TA的回帖
zuric
新虫
(知名作家)
应助: 0
(幼儿园)
金币: 2038.6
帖子: 7407
在线: 275.9小时
虫号: 4206781
★
yangmeinayan(金币+1): 谢谢参与
坐标轴选择log应该就可以吧,实在不行你先把横坐标log算出来,在作图也应该可以吧
发自小木虫Android客户端
赞
一下
回复此楼
6楼
2017-11-30 13:00:24
已阅
回复此楼
关注TA
给TA发消息
送TA红花
TA的回帖
简单回复
mrzouhao
4楼
2017-11-15 20:35
回复
yangmeinayan(金币+1): 谢谢参与
A
发自小木虫IOS客户端
查看全部 6 个回答
如果回帖内容含有宣传信息,请如实选中。否则帐号将被全论坛禁言
普通表情
龙
兔
虎
猫
高级回复
(可上传附件)
百度网盘
|
360云盘
|
千易网盘
|
华为网盘
在新窗口页面中打开自己喜欢的网盘网站,将文件上传后,然后将下载链接复制到帖子内容中就可以了。
信息提示
关闭
请填处理意见
关闭
确定