| 查看: 640 | 回复: 4 | ||
[求助]
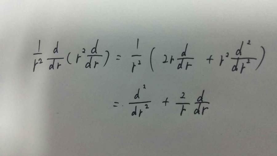
不会做题了!
|
|
打问号的部分是怎么得到的 发自小木虫IOS客户端 |
» 猜你喜欢
085404(计算机技术)293分 希望调剂到材料相关专业
已经有0人回复
大湾区大学(筹)刘天辉课题组招收博士生(与中山大学物理学院联合培养)
已经有16人回复
物理化学论文润色/翻译怎么收费?
已经有116人回复
PbS量子点如何确定浓度
已经有11人回复
已知面上挂了,小学校实验方向无平台,感觉太难了
已经有26人回复
大湾区大学刘天辉课题组招收2026级博士生(与中山大学物理学院联合培养)
已经有22人回复
求助各位大佬,球球了,在这科萨头
已经有0人回复
PbS量子点紫外吸收
已经有0人回复
比利时鲁汶大学与国家留学基金委共同资助博士研究生CSC-KU Leuven PhD Scholarship
已经有0人回复
伦敦大学学院Benjamin Moss博士招收人工智能、原位光谱、催化相关26年博士生
已经有11人回复
中国科学院成都山地灾害与环境研究所2026年特别研究助理(博士后)招聘启事
已经有0人回复

2楼2017-11-08 20:26:50
liuxing829
捐助贵宾 (小有名气)
- 应助: 0 (幼儿园)
- 金币: 29.9
- 散金: 210
- 红花: 3
- 帖子: 162
- 在线: 131.4小时
- 虫号: 1099073
- 注册: 2010-09-15
- 性别: GG
- 专业: 凝聚态物性 II :电子结构
3楼2017-11-09 08:51:24

4楼2017-11-10 17:08:33

5楼2017-11-10 17:09:29













回复此楼
晨辰琛曦