| ²é¿´: 688 | »Ø¸´: 9 | ||
maxvitгæ (³õÈëÎÄ̳)
|
[ÇóÖú]
±¾¿ÆÉú±ÏÉèµ¥ÌåºÏ³É£¬Ï£ÍûÄܹ»¸øµã˼· ÒÑÓÐ2È˲ÎÓë
|
|
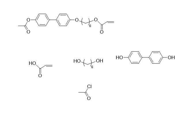
ÈçͼÔõôºÏѽ£¬ÐÂÊÖÉϵÀ£¬»¹Íû¶à¶à°üº(?>?<?£© ·¢×ÔСľ³æAndroid¿Í»§¶Ë |
» ²ÂÄãϲ»¶
309Çóµ÷¼Á
ÒѾÓÐ9È˻ظ´
»·¾³¿ÆÑ§Ó빤³Ì334·ÖÇóµ÷¼Á
ÒѾÓÐ4È˻ظ´
085404Çóµ÷¼Á£¬×Ü·Ö309£¬±¾¿Æ¾Àú½ÏΪ·á¸»
ÒѾÓÐ6È˻ظ´
285Çóµ÷¼Á
ÒѾÓÐ5È˻ظ´
Çó»¯Ñ§µ÷¼Á
ÒѾÓÐ7È˻ظ´
²ÄÁϹ¤³Ìר˶Çóµ÷¼Á
ÒѾÓÐ4È˻ظ´
317Çóµ÷¼Á
ÒѾÓÐ10È˻ظ´
318Çóµ÷¼Á
ÒѾÓÐ4È˻ظ´
»¯Ñ§308·Öµ÷¼Á
ÒѾÓÐ3È˻ظ´
Ò»Ö¾Ô¸ºÓ±±¹¤Òµ´óѧ0817»¯¹¤278·ÖÇóµ÷¼Á
ÒѾÓÐ18È˻ظ´
maxvit
гæ (³õÈëÎÄ̳)
- Ó¦Öú: 0 (Ó×¶ùÔ°)
- ½ð±Ò: 153.5
- Ìû×Ó: 22
- ÔÚÏß: 9.8Сʱ
- ³æºÅ: 6679227
- ×¢²á: 2017-06-03
- רҵ: ¹ÌÌåÎÞ»ú»¯Ñ§
2Â¥2017-11-02 21:57:11
hackergao
½ð³æ (СÓÐÃûÆø)
- Ó¦Öú: 29 (СѧÉú)
- ½ð±Ò: 997.7
- ºì»¨: 11
- Ìû×Ó: 274
- ÔÚÏß: 364Сʱ
- ³æºÅ: 317681
- ×¢²á: 2007-03-04
- ÐÔ±ð: GG
- רҵ: Óлú·Ö×Ó¹¦ÄܲÄÁÏ»¯Ñ§

3Â¥2017-11-03 09:47:11
maxvit
гæ (³õÈëÎÄ̳)
- Ó¦Öú: 0 (Ó×¶ùÔ°)
- ½ð±Ò: 153.5
- Ìû×Ó: 22
- ÔÚÏß: 9.8Сʱ
- ³æºÅ: 6679227
- ×¢²á: 2017-06-03
- רҵ: ¹ÌÌåÎÞ»ú»¯Ñ§
4Â¥2017-11-03 10:53:49
hackergao
½ð³æ (СÓÐÃûÆø)
- Ó¦Öú: 29 (СѧÉú)
- ½ð±Ò: 997.7
- ºì»¨: 11
- Ìû×Ó: 274
- ÔÚÏß: 364Сʱ
- ³æºÅ: 317681
- ×¢²á: 2007-03-04
- ÐÔ±ð: GG
- רҵ: Óлú·Ö×Ó¹¦ÄܲÄÁÏ»¯Ñ§

5Â¥2017-11-03 13:40:02
maxvit
гæ (³õÈëÎÄ̳)
- Ó¦Öú: 0 (Ó×¶ùÔ°)
- ½ð±Ò: 153.5
- Ìû×Ó: 22
- ÔÚÏß: 9.8Сʱ
- ³æºÅ: 6679227
- ×¢²á: 2017-06-03
- רҵ: ¹ÌÌåÎÞ»ú»¯Ñ§
|
¡£¡£Äã˵¼òµ¥ÎÒ¶¼²»ºÃÒâ˼ÎÊÀ²¡£¡£ÄÜ·ñÈ÷ÓôÇ»ùºÍ´¼Ö®¼äÖ±½Ó·´Ó¦²¢ÍѵôÉú³É²úÎïÖмäÄǸö¼ü£¬ÒªÊDz»ÄܸÃÔõô·Ö²½´¦Àíѽ£¿ ·¢×ÔСľ³æAndroid¿Í»§¶Ë |
6Â¥2017-11-03 20:02:28
orientwangs
½ð³æ (ÕýʽдÊÖ)
- Ó¦Öú: 2 (Ó×¶ùÔ°)
- ½ð±Ò: 1935.2
- ºì»¨: 6
- Ìû×Ó: 515
- ÔÚÏß: 123.9Сʱ
- ³æºÅ: 148738
- ×¢²á: 2005-12-28
- רҵ: ÓлúºÏ³É
7Â¥2017-11-03 21:36:59
maxvit
гæ (³õÈëÎÄ̳)
- Ó¦Öú: 0 (Ó×¶ùÔ°)
- ½ð±Ò: 153.5
- Ìû×Ó: 22
- ÔÚÏß: 9.8Сʱ
- ³æºÅ: 6679227
- ×¢²á: 2017-06-03
- רҵ: ¹ÌÌåÎÞ»ú»¯Ñ§
8Â¥2017-11-06 15:22:47
stillocr
½ð³æ (ÕýʽдÊÖ)
- Ó¦Öú: 207 (´óѧÉú)
- ½ð±Ò: 1460.3
- É¢½ð: 690
- ºì»¨: 25
- Ìû×Ó: 865
- ÔÚÏß: 262.7Сʱ
- ³æºÅ: 1800023
- ×¢²á: 2012-05-07
- ÐÔ±ð: GG
- רҵ: ¸ß·Ö×Ó²ÄÁϽṹÓëÐÔÄÜ
9Â¥2017-11-06 17:19:55
¹Â¶ÀµÄµ¾²ÝÈË
½û³æ (СÓÐÃûÆø)
|
±¾ÌûÄÚÈݱ»ÆÁ±Î |
10Â¥2017-11-07 15:39:49














»Ø¸´´ËÂ¥
20