| 查看: 926 | 回复: 4 | ||
[求助]
纳米银紫外表征的困惑
|
|
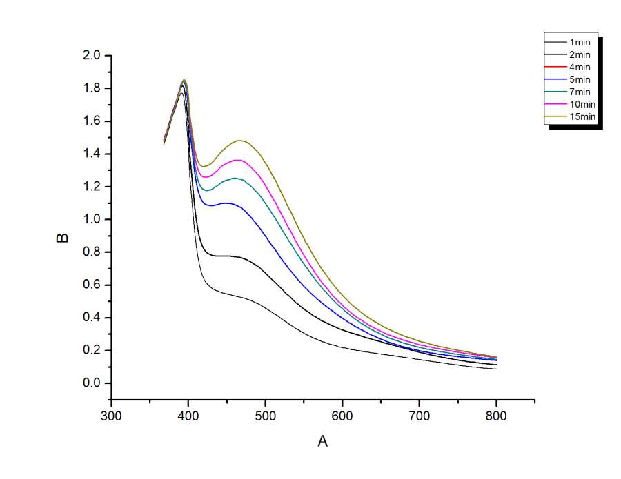
采用植物提取物合成的纳米银遇到了个问题,以前没有遇到过,很困惑:为何在纳米银吸收峰之前小于400nm处还有一个强吸收峰呢? 这个峰因何而起? 另外在300-350nm附近为何出现不规则的吸收峰?是仪器原因吗?如何解决?多谢! Fig 1.jpg Fig 2.jpg |
» 猜你喜欢
上海应用技术大学招生调剂研究生
已经有8人回复
南京晓庄学院绿色能源材料团队招生
已经有0人回复
无机化学论文润色/翻译怎么收费?
已经有185人回复
南京晓庄学院绿色能源材料团队招生
已经有0人回复
北方工业大学储能技术-02电化学储能与氢能方向招收2026级二次调剂学生
已经有0人回复
求助WO3.cif文件 对应PDF卡片 43-1035,单斜晶系 , P21/n 。
已经有2人回复
稀土发光分析|核壳结构|寿命拟合
已经有7人回复
稀土发光分析|核壳结构|寿命拟合
已经有10人回复
稀土发光分析|核壳结构|寿命拟合
已经有6人回复
稀土发光分析|核壳结构|寿命拟合
已经有0人回复
稀土发光分析|核壳结构|寿命拟合
已经有0人回复
» 本主题相关商家推荐: (我也要在这里推广)
2楼2017-11-02 22:57:04
3楼2017-11-03 08:13:42
4楼2017-11-03 08:14:08
5楼2017-11-29 15:43:25













回复此楼
