| 查看: 293 | 回复: 1 | |||
suplixia新虫 (小有名气)
|
[求助]
微分方程求解 已有1人参与
|
|
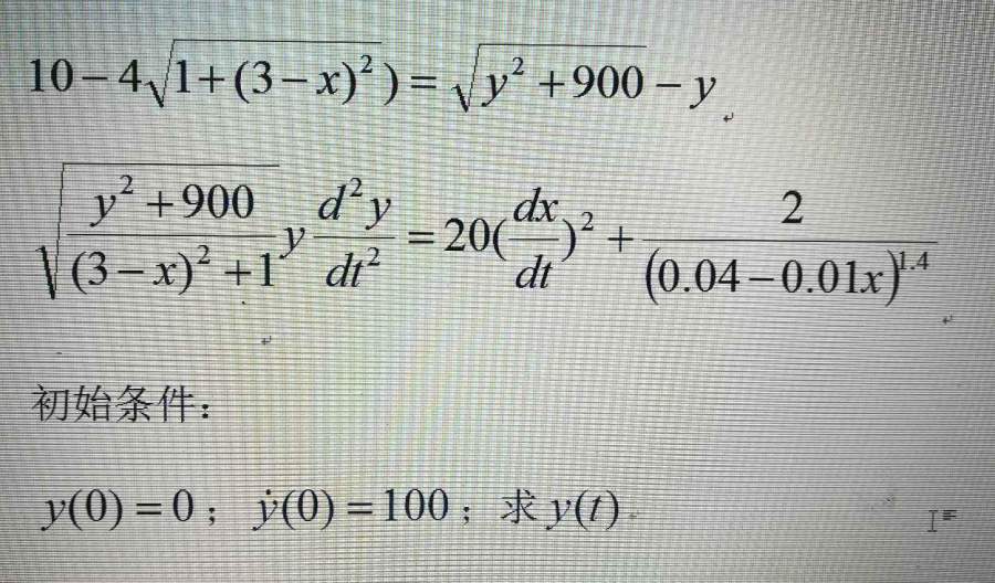
求助各位大侠,遇到这么一个微分方程组(见图片),有没有什么办法可以求解出来,matlab编程实现也可以,急!!! 发自小木虫Android客户端 |
» 猜你喜欢
0702一志愿吉大B区求调剂 本科期间发表一篇Sci
已经有2人回复
070200求调剂,一志愿某211,288分
已经有18人回复
物理学I论文润色/翻译怎么收费?
已经有213人回复
法国博士后职位
已经有0人回复
重庆交大26年硕士生招生拟调剂通知已出!欢迎加入机器视觉与3D光学成像课题组。
已经有0人回复
**
已经有1人回复
0702一志愿吉大B区求调剂 本科期间发表一篇Sci
已经有0人回复
基底STO,薄膜SRO,XRD里面的振荡,是laue震荡还是kiessig振荡? 怎么判断?
已经有0人回复
Mr__Right
专家顾问 (著名写手)
-

专家经验: +31 - 应助: 317 (大学生)
- 金币: 14456.3
- 散金: 500
- 红花: 54
- 帖子: 2716
- 在线: 950.6小时
- 虫号: 1972612
- 注册: 2012-09-04
- 性别: GG
- 专业: 应用数学方法
- 管辖: 程序语言

2楼2017-10-23 20:34:28














回复此楼