24小时热门版块排行榜    

Znn3bq.jpeg
查看: 678  |  回复: 0

bestweiguo

新虫 (初入文坛)

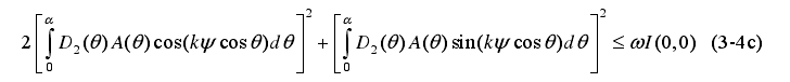
[求助] 非线性约束线性化

今日再看一篇线性规划论文的时候,里面提到了非线性规划到线性规划的转化,这应该是一个数学问题,我看不太懂,希望得到论坛里的高手的指点。对不起,金币有限,都给出去了!

非线性约束线性化
1.png


非线性约束线性化-1
2.png


非线性约束线性化-2
3.png
回复此楼

» 猜你喜欢

已阅   回复此楼   关注TA 给TA发消息 送TA红花 TA的回帖
相关版块跳转 我要订阅楼主 bestweiguo 的主题更新
最具人气热帖推荐 [查看全部] 作者 回/看 最后发表
[考研] 广东省 085601 329分求调剂 +13 Eddieddd 2026-04-10 13/650 2026-04-10 23:27 by 314126402
[考研] 263能源动力专硕求调剂 +3 加大号饭盒袋 2026-04-10 3/150 2026-04-10 22:23 by 286640313
[考研] 336材料与化工085600求调剂 +21 水星记infp 2026-04-05 24/1200 2026-04-10 15:28 by luoyongfeng
[考研] 求调剂 +11 雪逢冬 2026-04-10 11/550 2026-04-10 14:38 by Abskk
[考研] 已调剂 +18 柴郡猫_ 2026-04-09 19/950 2026-04-09 22:10 by 柴郡猫_
[考研] 284求调剂 +7 archer.. 2026-04-09 8/400 2026-04-09 21:30 by bljnqdcc
[考研] 305求调剂 +4 77Qi 2026-04-07 4/200 2026-04-09 17:27 by wp06
[考研] 280求调剂 +5 兮兮夜夜 2026-04-09 8/400 2026-04-09 11:15 by 兮兮夜夜
[考研] 材料307分求大佬组收留 +17 Hll胡 2026-04-07 17/850 2026-04-09 10:53 by liuhuiying09
[考研] 086000调剂 +4 十七sa 2026-04-07 4/200 2026-04-09 09:27 by 壹往無前
[考研] 0703调剂,一志愿天津大学319分 +23 haaaabcd 2026-04-05 26/1300 2026-04-08 16:19 by luoyongfeng
[考研] 求调剂,现在还能填的 +3 上岸小莹加油 2026-04-08 3/150 2026-04-08 14:30 by zhq0425
[考研] 281求调剂 +10 椰子蘑菇 2026-04-06 10/500 2026-04-08 11:43 by zzucheup
[考研] 085602调剂 初试总分335 +10 19123253302 2026-04-05 10/500 2026-04-07 15:23 by 小乔同学ya
[考研] 软工学硕299求调剂 +6 useryy 2026-04-07 6/300 2026-04-07 09:50 by vgtyfty
[考研] 307求调剂 +3 Youth@@ 2026-04-07 3/150 2026-04-07 09:25 by 小黑不怕难
[考研] 277工科求调剂 +10 1915668 2026-04-04 11/550 2026-04-06 23:53 by 心媛意北
[考研] 362求调剂一志愿中国石油大学 +4 我要考大 2026-04-06 6/300 2026-04-06 14:11 by 无际的草原
[考研] 调剂 +3 李广火 2026-04-05 3/150 2026-04-05 18:57 by 蓝云思雨
[考研] 081200-11408-276学硕求调剂 +4 崔wj 2026-04-04 5/250 2026-04-05 14:06 by imissbao
信息提示
请填处理意见