| 查看: 1064 | 回复: 2 | ||
[求助]
DSC曲线出现从没有遇到过的放热峰,无法解释这个现象
|
|
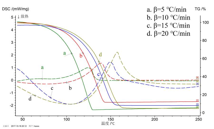
求助!耐驰同步热分析仪,升温速率是5 10 15 20 但是15和20的升温速率下,DSC曲线(虚线)一开始出现了两个巨大的放热峰,样品是樟脑,查书和文献都没有翻到解决办法,不知道是什么原因造成的这个现象,求高手指点。 樟脑TG-DSC.jpg |
» 猜你喜欢
生物学308分求调剂(一志愿华东师大)
已经有12人回复
调剂求助(生物与医药)
已经有3人回复
一志愿吉大化学327求调剂
已经有7人回复
一志愿生物与医药,296分,求调剂
已经有13人回复
327求调剂
已经有5人回复
初试301,代码085701环境工程,本硕一致,四六级已过,有二区一作,共发表5篇论文
已经有8人回复
327考研调剂推荐
已经有6人回复
328求调剂
已经有3人回复
304求调剂
已经有9人回复
化工求调剂!
已经有16人回复
2楼2017-10-20 12:57:01
3楼2017-10-20 23:06:26














回复此楼