| 查看: 1540 | 回复: 2 | ||
swiftxin2008金虫 (小有名气)
|
[求助]
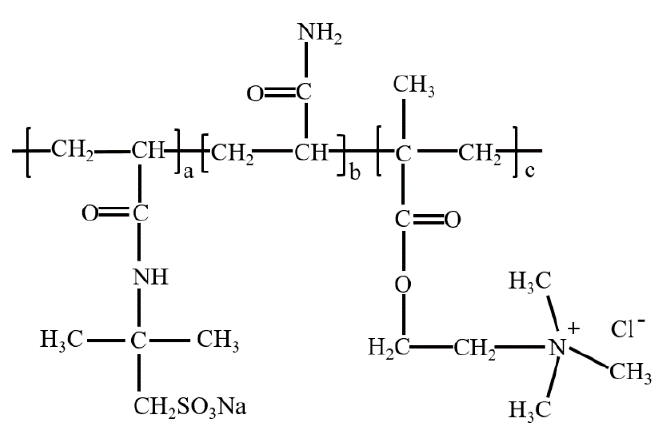
聚合物对粘土层间距的影响 已有1人参与
|
|
|
|
||
Dr_Jesse铁杆木虫 (著名写手)
沧海一粟,浩宇星尘
|
【答案】应助回帖
感谢参与,应助指数 +1
» 本帖已获得的红花(最新10朵) |
|
![]() |
||
|
2楼2017-10-16 10:46:36
|
|
|
swiftxin2008金虫 (小有名气)
|
||
|
3楼2018-06-24 22:14:55
|
|













回复此楼
swiftxin2008
