| ²é¿´: 516 | »Ø¸´: 1 | ||
ѲÌìÒ£¿´Ð³æ (³õÈëÎÄ̳)
|
[ÇóÖú]
¹«Ê½µÄÒ»²¿·Ö²»¶®
|
|
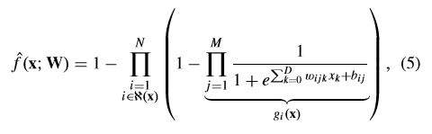
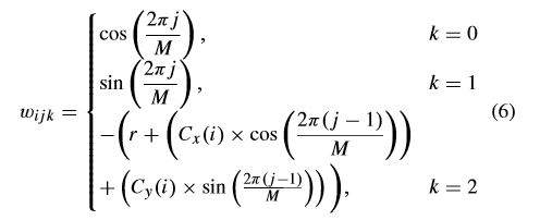
ijÖÖ²ÎÊý»¯Ë®Æ½¼¯Ä£Ð͹«Ê½£¬ÇëÎÊeµÄÃݴη½ÏîÕ¹¿ªÐ´ÊÇʲô£¿Ê²Ã´ÒâÒ壿 °ë¿Õ¼ä£¨half-spaces£©ÓÐÄÄЩ¹«Ê½±íÊö£¿ 11.JPG 12.JPG 14.JPG IMG_20171011_155843.jpg |
» ±¾Ìû¸½¼þ×ÊÔ´Áбí
-
»¶Ó¼à¶½ºÍ·´À¡£ºÐ¡Ä¾³æ½öÌṩ½»Á÷ƽ̨£¬²»¶Ô¸ÃÄÚÈݸºÔð¡£
±¾ÄÚÈÝÓÉÓû§×ÔÖ÷·¢²¼£¬Èç¹ûÆäÄÚÈÝÉæ¼°µ½ÖªÊ¶²úȨÎÊÌ⣬ÆäÔðÈÎÔÚÓÚÓû§±¾ÈË£¬Èç¶Ô°æÈ¨ÓÐÒìÒ飬ÇëÁªÏµÓÊÏ䣺xiaomuchong@tal.com - ¸½¼þ 1 : ͼÏñ·Ö¸îÖзÖÀë±ê×¼»¯²ÎÊý»¯µÄˮƽ¼¯.pdf
2017-10-11 15:57:00, 2.76 M
» ²ÂÄãϲ»¶
366Çóµ÷¼Á
ÒѾÓÐ9È˻ظ´
²ÄÁϹ¤³Ì085601£¬270Çóµ÷¼Á
ÒѾÓÐ37È˻ظ´
279ѧ˶ʳƷרҵÇóµ÷¼ÁԺУ
ÒѾÓÐ18È˻ظ´
290µ÷¼ÁÉúÎï0860
ÒѾÓÐ31È˻ظ´
Ò»Ö¾Ô¸085802 323·ÖÇóµ÷¼Á
ÒѾÓÐ13È˻ظ´
277Çóµ÷¼Á
ÒѾÓÐ23È˻ظ´
322Çóµ÷¼Á£¬08¹¤¿Æ
ÒѾÓÐ4È˻ظ´
²ÄÁϹ¤³Ì281»¹Óе÷¼Á»ú»áÂð
ÒѾÓÐ30È˻ظ´
»¯Ñ§070300 Çóµ÷¼Á
ÒѾÓÐ16È˻ظ´
»¯¹¤Ñ§Ë¶294·Ö£¬Çóµ¼Ê¦ÊÕÁô
ÒѾÓÐ12È˻ظ´
ѲÌìÒ£¿´
гæ (³õÈëÎÄ̳)
- Ó¦Öú: 0 (Ó×¶ùÔ°)
- ½ð±Ò: 174.5
- ºì»¨: 1
- Ìû×Ó: 34
- ÔÚÏß: 4.7Сʱ
- ³æºÅ: 7126366
- ×¢²á: 2017-09-01
- ÐÔ±ð: GG
- רҵ: ¼ÆËã»úÈí¼þ
2Â¥2017-10-16 15:10:26













»Ø¸´´ËÂ¥
20