²é¿´: 1616  |  »Ø¸´: 9

wy_sweet

гæ (³õÈëÎÄ̳)

[½»Á÷] ¸ß˹09 502´íÎó ÒÑÓÐ5È˲ÎÓë

ÐÂÊÖ²»ÖªµÀÄÄÀï³öÁËÎÊÌâ ÐèÒªÔõô¸ÄÕý£¿Ñ°Çó°ïÖú

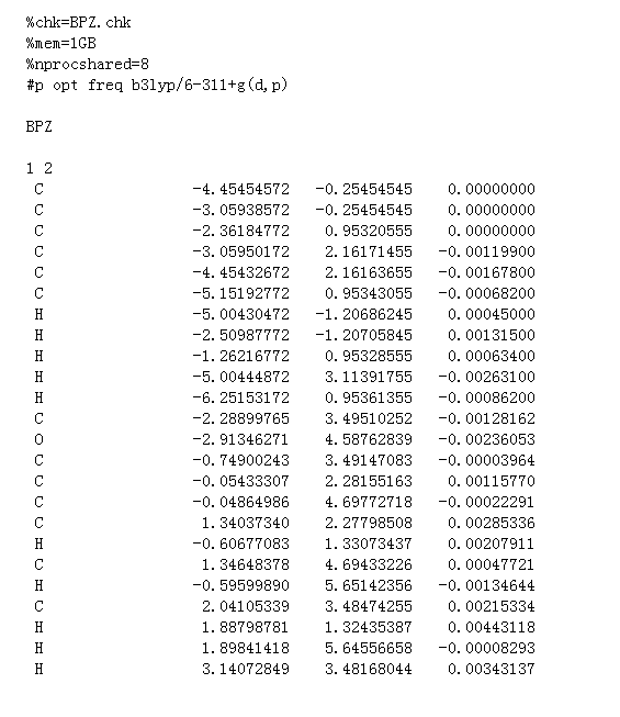
¸ß˹09 502´íÎó


¸ß˹09 502´íÎó-1


·¢×ÔСľ³æIOS¿Í»§¶Ë
»Ø¸´´ËÂ¥

» ²ÂÄãϲ»¶

» ±¾Ö÷ÌâÏà¹Ø¼ÛÖµÌùÍÆ¼ö£¬¶ÔÄúͬÑùÓаïÖú:

ÒÑÔÄ   »Ø¸´´ËÂ¥   ¹Ø×¢TA ¸øTA·¢ÏûÏ¢ ËÍTAºì»¨ TAµÄ»ØÌû

ÆâÔÂСÓã

Ìú¸Ëľ³æ (ÕýʽдÊÖ)

¡ï
Сľ³æ: ½ð±Ò+0.5, ¸ø¸öºì°ü£¬Ð»Ð»»ØÌû
ÎÒ½ñÌìÓöµ½ÁËһģһÑùµÄÎÊÌâ

·¢×ÔСľ³æIOS¿Í»§¶Ë
2Â¥2017-10-11 14:11:16
ÒÑÔÄ   »Ø¸´´ËÂ¥   ¹Ø×¢TA ¸øTA·¢ÏûÏ¢ ËÍTAºì»¨ TAµÄ»ØÌû

wy_sweet

гæ (³õÈëÎÄ̳)

ÒýÓûØÌû:
2Â¥: Originally posted by ÆâÔÂСÓã at 2017-10-11 14:11:16
ÎÒ½ñÌìÓöµ½ÁËһģһÑùµÄÎÊÌâ

ÄÇÄãÕâ¸ö½â¾öÁËÂð£¿ÄÄÀï³öÎÊÌâÀ²£¿

·¢×ÔСľ³æIOS¿Í»§¶Ë
3Â¥2017-10-11 14:23:13
ÒÑÔÄ   »Ø¸´´ËÂ¥   ¹Ø×¢TA ¸øTA·¢ÏûÏ¢ ËÍTAºì»¨ TAµÄ»ØÌû

º¬ÄܲÄÁÏ

ר¼Ò¹ËÎÊ (ÖøÃûдÊÖ)

¡ï
Сľ³æ: ½ð±Ò+0.5, ¸ø¸öºì°ü£¬Ð»Ð»»ØÌû
»¹¿ÉÒÔÈ¥Á¿×Ó»¯Ñ§°æÇóÖúÊÔÒ»ÊÔ£¬Ó¦¸Ã²»ÄѵİÉ

·¢×ÔСľ³æAndroid¿Í»§¶Ë
4Â¥2017-10-11 14:54:36
ÒÑÔÄ   »Ø¸´´ËÂ¥   ¹Ø×¢TA ¸øTA·¢ÏûÏ¢ ËÍTAºì»¨ TAµÄ»ØÌû

wy_sweet

гæ (³õÈëÎÄ̳)

ÒýÓûØÌû:
4Â¥: Originally posted by º¬ÄܲÄÁÏ at 2017-10-11 14:54:36
»¹¿ÉÒÔÈ¥Á¿×Ó»¯Ñ§°æÇóÖúÊÔÒ»ÊÔ£¬Ó¦¸Ã²»ÄѵİÉ

ºÃµÄ¡¢Ð»Ð»ÁË

·¢×ÔСľ³æIOS¿Í»§¶Ë
5Â¥2017-10-11 14:55:29
ÒÑÔÄ   »Ø¸´´ËÂ¥   ¹Ø×¢TA ¸øTA·¢ÏûÏ¢ ËÍTAºì»¨ TAµÄ»ØÌû

º¬ÄܲÄÁÏ

ר¼Ò¹ËÎÊ (ÖøÃûдÊÖ)

ÒýÓûØÌû:
5Â¥: Originally posted by wy_sweet at 2017-10-11 14:55:29
ºÃµÄ¡¢Ð»Ð»ÁË
...

Ã²ËÆÊDz»ÊÕÁ²
6Â¥2017-10-11 16:57:39
ÒÑÔÄ   »Ø¸´´ËÂ¥   ¹Ø×¢TA ¸øTA·¢ÏûÏ¢ ËÍTAºì»¨ TAµÄ»ØÌû

DX0929

ÖÁ×ðľ³æ (ÖøÃûдÊÖ)

Ñ­»·Êý²»¹»°É£¬¿ÉÒÔÓöþ½×µ¼ÊýÊÕÁ²

·¢×ÔСľ³æAndroid¿Í»§¶Ë
»ú»áÊÇÁô¸øÓÐ×¼±¸µÄÈ˵ġ£
7Â¥2017-10-11 20:31:35
ÒÑÔÄ   »Ø¸´´ËÂ¥   ¹Ø×¢TA ¸øTA·¢ÏûÏ¢ ËÍTAºì»¨ TAµÄ»ØÌû

wy_sweet

гæ (³õÈëÎÄ̳)

ÒýÓûØÌû:
7Â¥: Originally posted by DX0929 at 2017-10-11 20:31:35
Ñ­»·Êý²»¹»°É£¬¿ÉÒÔÓöþ½×µ¼ÊýÊÕÁ²

ʲôÒâ˼ѽ£¿²»¶®Ñ½£¿ÐèÒªÔõô¸Äѽ£¿

·¢×ÔСľ³æIOS¿Í»§¶Ë
8Â¥2017-10-11 21:23:46
ÒÑÔÄ   »Ø¸´´ËÂ¥   ¹Ø×¢TA ¸øTA·¢ÏûÏ¢ ËÍTAºì»¨ TAµÄ»ØÌû

ca0yan9

¾èÖú¹ó±ö (ÎÄ̳¾«Ó¢)

Сľ³æÓ×¶ùÔ°ÈÙÓþÔ°³¤

¡ï
Сľ³æ: ½ð±Ò+0.5, ¸ø¸öºì°ü£¬Ð»Ð»»ØÌû
convg²Åµ½10-4¼¶±ð£¬Õý³£SCFÍêÐèÒªµ½10-8¼¶±ð

·¢×ÔСľ³æAndroid¿Í»§¶Ë
9Â¥2017-10-12 13:58:10
ÒÑÔÄ   »Ø¸´´ËÂ¥   ¹Ø×¢TA ¸øTA·¢ÏûÏ¢ ËÍTAºì»¨ TAµÄ»ØÌû

xueqingtao

гæ (ÕýʽдÊÖ)

¡ï
Сľ³æ: ½ð±Ò+0.5, ¸ø¸öºì°ü£¬Ð»Ð»»ØÌû
ÏÈÓÃmp2ÓÅ»¯Ò»Ï£¬ÔÚÓÃdft¼ÆËãÊÔÊÔ

·¢×ÔСľ³æIOS¿Í»§¶Ë
10Â¥2017-10-15 22:55:52
ÒÑÔÄ   »Ø¸´´ËÂ¥   ¹Ø×¢TA ¸øTA·¢ÏûÏ¢ ËÍTAºì»¨ TAµÄ»ØÌû
Ïà¹Ø°æ¿éÌø×ª ÎÒÒª¶©ÔÄÂ¥Ö÷ wy_sweet µÄÖ÷Ìâ¸üÐÂ
×î¾ßÈËÆøÈÈÌûÍÆ¼ö [²é¿´È«²¿] ×÷Õß »Ø/¿´ ×îºó·¢±í
[¿¼ÑÐ] Ò»Ö¾Ô¸ ÄϾ©º½¿Õº½Ìì´óѧ´óѧ £¬080500²ÄÁÏ¿ÆÑ§Ó빤³Ìѧ˶ +4 @taotao 2026-03-20 4/200 2026-03-20 10:37 by EBSD
[¿¼ÑÐ] 271²ÄÁϹ¤³ÌÇóµ÷¼Á +7 .6lL 2026-03-18 7/350 2026-03-20 09:10 by xingguangj
[¿¼ÑÐ] Ò»Ö¾Ô¸ÄϾ©Àí¹¤´óѧ085701×ÊÔ´Óë»·¾³302·ÖÇóµ÷¼Á +3 ¿ûè÷ÎÀ¶Ó 2026-03-18 5/250 2026-03-19 19:35 by ¸øÄãÄã×¢ÒâÐÝÏ¢
[¿¼ÑÐ] ¸´ÊÔµ÷¼Á +4 z1z2z3879 2026-03-14 6/300 2026-03-19 17:18 by fei626-918
[¿¼ÑÐ] Ò»Ö¾Ô¸±±¾©»¯¹¤´óѧ0703»¯Ñ§318·Ö£¬ÓпÆÑо­Àú£¬Çóµ÷¼Á +3 һƿ±½¼×Ëá 2026-03-14 3/150 2026-03-19 15:17 by ¾¡Ë´Ò¢1
[¿¼ÑÐ] 0703»¯Ñ§µ÷¼Á +5 pupcoco 2026-03-17 8/400 2026-03-19 13:58 by houyaoxu
[¿¼ÑÐ] ±¾¿ÆÖ£ÖÝ´óѧÎïÀíѧԺ£¬Ò»Ö¾Ô¸»ª¿Æ070200ѧ˶£¬346Çóµ÷¼Á +4 ÎÒ²»ÊÇÒ»¸ù´Ð 2026-03-18 4/200 2026-03-19 09:11 by ¸¡ÔÆ166
[¿¼ÑÐ] 344Çóµ÷¼Á +6 knight344 2026-03-16 7/350 2026-03-18 20:13 by walc
[¿¼ÑÐ] Ò»Ö¾Ô¸ÎäÀí²ÄÁÏ305·ÖÇóµ÷¼Á +5 ÏëÉϰ¶µÄÀðÓã 2026-03-18 6/300 2026-03-18 17:53 by Î޼ʵIJÝÔ­
[¿¼ÑÐ] 08¹¤¿Æ 320×Ü·Ö Çóµ÷¼Á +5 À滨çóÍí·ç 2026-03-17 5/250 2026-03-18 14:49 by haxia
[¿¼ÑÐ] 304Çóµ÷¼Á +12 СÐÜjoy 2026-03-14 13/650 2026-03-18 12:34 by Linda Hu
[¿¼ÑÐ] 0703»¯Ñ§336·ÖÇóµ÷¼Á +6 zbzihdhd 2026-03-15 7/350 2026-03-18 09:53 by zhukairuo
[¿¼ÑÐ] 301Çóµ÷¼Á +4 A_JiXing 2026-03-16 4/200 2026-03-17 17:32 by ruiyingmiao
[¿¼ÑÐ] ÓÐûÓеÀÌú/ÍÁľµÄÏëµ÷¼ÁÄÏÁÖ£¬¸ø×Ô¼ºÕÐʦµÜÖС« +3 TqlXswl 2026-03-16 7/350 2026-03-17 15:23 by TqlXswl
[¿¼ÑÐ] 326Çóµ÷¼Á +4 ŵ±´¶û»¯Ñ§½±êéê 2026-03-15 7/350 2026-03-16 17:11 by ŵ±´¶û»¯Ñ§½±êéê
[»ù½ðÉêÇë] ½ñÄêµÄ¹ú»ù½ðÊÇ´ò·ÖÖÆÂ𣿠50+3 zhanghaozhu 2026-03-14 3/150 2026-03-16 17:07 by ±±¾©À³ÒðÈóÉ«
[¿¼ÑÐ] 304Çóµ÷¼Á +5 ËØÄê¼ÀÓï 2026-03-15 5/250 2026-03-16 17:00 by ÎҵĴ¬Îҵĺ£
[¿¼ÑÐ] 0856Çóµ÷¼Á +3 ÁõÃÎ΢ 2026-03-15 3/150 2026-03-16 10:00 by houyaoxu
[¿¼ÑÐ] Öпƴó²ÄÁÏÓ뻯¹¤319Çóµ÷¼Á +3 ÃÏöβÄÁÏ 2026-03-14 3/150 2026-03-14 20:10 by ms629
[¿¼ÑÐ] Ò»Ö¾Ô¸¹þ¹¤´ó²ÄÁÏ324·ÖÇóµ÷¼Á +5 ãÆÐñ¶« 2026-03-14 5/250 2026-03-14 14:53 by ľ¹Ï¸à
ÐÅÏ¢Ìáʾ
ÇëÌî´¦ÀíÒâ¼û