| 查看: 484 | 回复: 0 | ||
[求助]
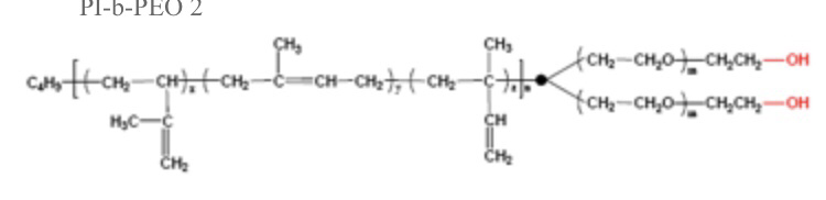
请问哪里能买到PI-B-PEO这种嵌段高分子聚合物,谢谢
|
|
请问哪里能买到PI-B-PEO这种嵌段高分子聚合物,谢谢!结构见附件! 发自小木虫IOS客户端 |
» 猜你喜欢
309分085801求调剂
已经有7人回复
生物学308分求调剂(一志愿华东师大)
已经有3人回复
求调剂:一志愿:南京大学 专业:0705 总分320 ,本科985,四六级已过
已经有3人回复
环境工程 085701,267求调剂
已经有14人回复
308求调剂
已经有12人回复
求调剂:085600材料与化工,考材科基,总分319
已经有21人回复
311求调剂
已经有8人回复
294分080500材料科学与工程求调剂
已经有13人回复
288求调剂 一志愿哈工大 材料与化工
已经有19人回复
288资源与环境专硕求调剂,不限专业,有学上就行
已经有23人回复














回复此楼