| 查看: 1951 | 回复: 2 | |||
[交流]
关于qPCR同一基因不同批次表达不一样的问题 已有2人参与
|
|
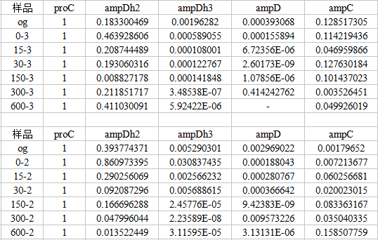
昨天进行定量PCR试验,我以一个样品为阳性对照,就是在不同批次的实验中都在同一位置加入该样品扩相同基因,但发现两次的结果差异较大(下图中og为阳性对照,proC为对照基因,发现其他基因表达差异较大),有没有大神愿意解答,小弟感激不尽 发自小木虫IOS客户端 |
» 猜你喜欢
323求调剂
已经有6人回复
一志愿北京化工大学 070300 学硕 336分 求调剂
已经有4人回复
352求调剂
已经有3人回复
一志愿东华大学化学070300,求调剂
已经有8人回复
277材料科学与工程080500求调剂
已经有7人回复
317求调剂
已经有18人回复
293求调剂
已经有5人回复
280分求调剂 一志愿085802
已经有7人回复
0854电子信息求调剂
已经有3人回复
263求调剂
已经有4人回复
2楼2017-11-06 10:39:37
snoopytbw
荣誉版主 (著名写手)
- MicEPI: 6
- 应助: 261 (大学生)
- 贵宾: 0.014
- 金币: 5985.4
- 散金: 3
- 红花: 71
- 帖子: 1633
- 在线: 265小时
- 虫号: 3361216
- 注册: 2014-08-11
- 性别: MM
- 专业: 环境微生物学
- 管辖: 微生物
3楼2017-11-06 15:37:20













回复此楼
10