| ²é¿´: 557 | »Ø¸´: 3 | ||||
µÚ508ÊÒľ³æ (СÓÐÃûÆø)
С¶ù¿Æ
|
[ÇóÖú]
·´Ó¦ÇóÖú ÒÑÓÐ2È˲ÎÓë
|
|
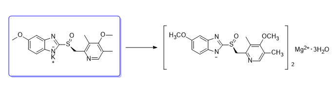
¸÷λ´óÅ££¬±¾ÈËÇóÖú°¬Ë¾°ÂÃÀÀßòþÑη´Ó¦¹ý³ÌµÄÏà¹Ø»úÀí£¬Ìá³öÄܹ»´Ù½ø·´Ó¦½øÐеķ½·¨£¬·´Ó¦Ê½ÈçÏÂͼ£¬×îºÃÄܹ»ÓÐÏà¹ØÎÄÏ×Ö§³Ö£¬·Ç³£Ð»Ð»£¡ 14.png |
» ²ÂÄãϲ»¶
307Çóµ÷¼Á
ÒѾÓÐ13È˻ظ´
071010 323 ·ÖÇóµ÷¼Á
ÒѾÓÐ3È˻ظ´
²ÄÁϵ÷¼Á
ÒѾÓÐ9È˻ظ´
²ÄÁÏר˶µ÷¼Á
ÒѾÓÐ10È˻ظ´
Ò»Ö¾Ô¸ÄϺ½ 335·Ö | 0856²ÄÁÏ»¯¹¤ | GPA 4.07 | ÓпÆÑоÀú
ÒѾÓÐ8È˻ظ´
Çóµ÷¼Á
ÒѾÓÐ8È˻ظ´
284Çóµ÷¼Á
ÒѾÓÐ15È˻ظ´
085602»¯¹¤Çóµ÷¼Á£¨331·Ö£©
ÒѾÓÐ3È˻ظ´
Ò»Ö¾Ô¸Äϲý´óѧ324Çóµ÷¼Á
ÒѾÓÐ8È˻ظ´
²ÄÁÏ¿ÆÑ§Ó빤³Ìµ÷¼Á
ÒѾÓÐ5È˻ظ´

¶ùʱµÄ·çóÝÏß
¾èÖú¹ó±ö (ÖøÃûдÊÖ)
- Ó¦Öú: 160 (¸ßÖÐÉú)
- ½ð±Ò: 6366.8
- É¢½ð: 368
- ºì»¨: 61
- ɳ·¢: 1
- Ìû×Ó: 1103
- ÔÚÏß: 125.4Сʱ
- ³æºÅ: 2030830
- ×¢²á: 2012-09-26
- ÐÔ±ð: GG
- רҵ: ³£Î¢·Ö·½³ÌÓ붯Á¦ÏµÍ³
¡¾´ð°¸¡¿Ó¦Öú»ØÌû
¡ï ¡ï ¡ï ¡ï ¡ï ¡ï ¡ï ¡ï ¡ï ¡ï ¡ï ¡ï ¡ï ¡ï ¡ï ¡ï ¡ï ¡ï ¡ï ¡ï ¡ï ¡ï ¡ï ¡ï ¡ï ¡ï ¡ï ¡ï ¡ï ¡ï
¸Ðл²ÎÓ룬ӦÖúÖ¸Êý +1
µÚ508ÊÒ: ½ð±Ò+30, ¡ïÓаïÖú, лл·ÖÏí£¬Õâ¸ö×Ô¼ºÖ®Ç°²éÁËЩ£¬Ã»ÕÒµ½ÏëÒªµÄ½á¹û£¡»¹ÊǺܸÐл»Ø¸´£¡ 2017-09-30 08:56:34
¸Ðл²ÎÓ룬ӦÖúÖ¸Êý +1
µÚ508ÊÒ: ½ð±Ò+30, ¡ïÓаïÖú, лл·ÖÏí£¬Õâ¸ö×Ô¼ºÖ®Ç°²éÁËЩ£¬Ã»ÕÒµ½ÏëÒªµÄ½á¹û£¡»¹ÊǺܸÐл»Ø¸´£¡ 2017-09-30 08:56:34
| Scifinder ËùÒÔ¼ìË÷½á¹ûÔÚ¸½¼þÀï¡£Çë²é¿´ |
» ±¾Ìû¸½¼þ×ÊÔ´Áбí
-
»¶Ó¼à¶½ºÍ·´À¡£ºÐ¡Ä¾³æ½öÌṩ½»Á÷ƽ̨£¬²»¶Ô¸ÃÄÚÈݸºÔð¡£
±¾ÄÚÈÝÓÉÓû§×ÔÖ÷·¢²¼£¬Èç¹ûÆäÄÚÈÝÉæ¼°µ½ÖªÊ¶²úȨÎÊÌ⣬ÆäÔðÈÎÔÚÓÚÓû§±¾ÈË£¬Èç¶Ô°æÈ¨ÓÐÒìÒ飬ÇëÁªÏµÓÊÏ䣺xiaomuchong@tal.com - ¸½¼þ 1 : namoamituofo.pdf
2017-09-29 16:17:49, 108.46 K

2Â¥2017-09-29 16:17:53
cc116
ר¼Ò¹ËÎÊ (ÎÄ̳¾«Ó¢)
-

ר¼Ò¾Ñé: +5548 - Ó¦Öú: 6964 (¸±½ÌÊÚ)
- ¹ó±ö: 1.323
- ½ð±Ò: 109105
- ºì»¨: 745
- Ìû×Ó: 10615
- ÔÚÏß: 4437.8Сʱ
- ³æºÅ: 982474
- ×¢²á: 2010-03-26
- ÐÔ±ð: GG
- רҵ: ÂÌÉ«Óлú»¯Ñ§
- ¹ÜϽ: Óлú½»Á÷
¡¾´ð°¸¡¿Ó¦Öú»ØÌû
¡ï ¡ï ¡ï ¡ï ¡ï ¡ï ¡ï ¡ï ¡ï ¡ï ¡ï ¡ï ¡ï ¡ï ¡ï ¡ï ¡ï ¡ï ¡ï ¡ï ¡ï ¡ï ¡ï ¡ï ¡ï ¡ï ¡ï ¡ï ¡ï ¡ï ¡ï ¡ï ¡ï ¡ï ¡ï ¡ï ¡ï ¡ï ¡ï ¡ï ¡ï ¡ï ¡ï ¡ï ¡ï ¡ï ¡ï ¡ï ¡ï ¡ï ¡ï ¡ï ...
¸Ðл²ÎÓ룬ӦÖúÖ¸Êý +1
µÚ508ÊÒ: ½ð±Ò+70, ¡ï¡ï¡ïºÜÓаïÖú, лл´óÅ££¬¸öÈ˳¢ÊÔ¹ýÓÃË®×÷Ϊ·´Ó¦ÈܼÁ£¬Ò²³¢ÊÔ¹ýÓü״¼×÷Ϊ·´Ó¦ÈܼÁ£¬»»¹ýºÜ¶àÌõ¼þ£¬µ«·´Ó¦²»ÄܽøÐÐÍêÈ«£¬´óÔ¼ÓÐ20%×óÓҵļØÑβ»×ª»¯Îª²úÎΪ´ËºÜÍ·ÌÛ¡ÓÐʲô½¨Ò飿лл£¡ 2017-10-01 23:42:39
¸Ðл²ÎÓ룬ӦÖúÖ¸Êý +1
µÚ508ÊÒ: ½ð±Ò+70, ¡ï¡ï¡ïºÜÓаïÖú, лл´óÅ££¬¸öÈ˳¢ÊÔ¹ýÓÃË®×÷Ϊ·´Ó¦ÈܼÁ£¬Ò²³¢ÊÔ¹ýÓü״¼×÷Ϊ·´Ó¦ÈܼÁ£¬»»¹ýºÜ¶àÌõ¼þ£¬µ«·´Ó¦²»ÄܽøÐÐÍêÈ«£¬´óÔ¼ÓÐ20%×óÓҵļØÑβ»×ª»¯Îª²úÎΪ´ËºÜÍ·ÌÛ¡ÓÐʲô½¨Ò飿лл£¡ 2017-10-01 23:42:39
|
Ê×ÏÈ£¬ÏÈ¿´Õâ¸ö»¯ºÏÎïµÄßäßò2λÕâÀÏ൱ÓÚÓÉ4-¼×Ñõ»ùÁÚ±½¶þ°·Ó루3£¬5-¶þ¼×»ù-4-¼×Ñõ»ù£©ßÁà¤-2¼×»ùÑÇ»Çõ£¼×ËáËõºÏµÃµ½µÄ ÕâÑù£¬ßäßò°·ÉϵÄÇ⣬¾ÍÏ൱ÓÚõ£°·µÄ°·ÉϵÄÇ⣬Õâ¸öÇâ¾ßÓÐÒ»¶¨µÄËáÐÔ£¬ÑÇ»Çõ£µÄ´æÔÚ£¬Ê¹µÃÓëÆäÏàÁڵļ×ËáµÄËáÐÔÔöÇ¿£¬Í¬Ñù£¬ÓëÕâ¸ö¼×ËáÐγɵÄõ£°·µÄ°·ÉϵÄÇ⣬ËáÐÔͬÑù»áÔöÇ¿ ÕâÑù£¬Õâ¸ö»¯ºÏÎïµÄßäßòµªÉϵÄÇ⣬¾Í¿ÉÒÔÓë¼î³ÉÑΣ¬¼î½ðÊô£¬Ôò¾ßÓÐË®ÈÜÐÔ£¬Ó벿·Ö¼îÍÁ½ðÊôµÈ£¬»áÐγɲ»ÈÜÓÚË®µÄ³Áµí Õâ¸ö·´Ó¦£¬¾ÍÊÇÀûÓÃÆä¼î½ðÊôÑÎ------¼ØÑεÄË®ÈÜÐÔ£¬Óë¿ÉÈÜÐÔµÄþÑΣ¬Íê³É¸´·Ö½â·´Ó¦£¬Éú³É²»ÈÜÐÔ»òÕßÈܽâÐÔÏà¶Ô½ÏÈõµÄ°ÂÃÀÀßòþÑΣ¬Ôپˮϴ³ýÑεõ½´¿¾»Æ· Íê³ÉÕâ¸ö·´Ó¦£¬¿ÉÒÔÔÚË®ÈÜÒºÖУ¬Ò²¿ÉÒÔÔÚÒÒ´¼»òÕ߯äËûÈܼÁÖУ¬ÕâÑù¿ÉÒÔ±ÜÃâ°ÂÃÀÀßò¼ØÑεÄË®½â þÑοÉÒÔÓÃÂÈ»¯Ã¾£¬ÁòËáþ£¬´×ËáþµÈ |
3Â¥2017-09-30 11:02:45
wrxnyd54
ľ³æ (ÖøÃûдÊÖ)
- Ó¦Öú: 0 (Ó×¶ùÔ°)
- ½ð±Ò: 61.5
- É¢½ð: 1400
- ºì»¨: 9
- Ìû×Ó: 2134
- ÔÚÏß: 15.3Сʱ
- ³æºÅ: 3040087
- ×¢²á: 2014-03-11
- רҵ: º£Ñó»·¾³¿ÆÑ§
4Â¥2017-09-30 12:12:55














»Ø¸´´ËÂ¥
10