| ²é¿´: 354 | »Ø¸´: 0 | ||
¾äºÅVIPÒø³æ (³õÈëÎÄ̳)
|
[ÇóÖú]
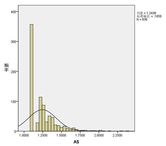
¶ÔÓÚº¬ÓдóÁ¿µÍÖµµÄÊý¾ÝÈçºÎת»»Õý̬·Ö²¼£¿
|
|
ÔʼÊý¾ÝÖ±·½Í¼Èçͼ1£¬ºÜ¶àֵΪ2.5µÄÊý¾Ý£¬¶ÔÊý±ä»»ºóµÄÖ±·½Í¼Èçͼ2£¬»¹ÊDz»·ûºÏÕý̬·Ö²¼£¬ÇëÎÊÕâÖÖ·Ö²¼µÄÊý¾ÝÓ¦¸ÃʹÓÃʲôת»»·½·¨²ÅÄÜתΪÕý̬·Ö²¼£¿ 1.JPG 2.JPG |
» ²ÂÄãϲ»¶
282Çóµ÷¼Á
ÒѾÓÐ0È˻ظ´
µØÖÊѧÂÛÎÄÈóÉ«/·ÒëÔõôÊÕ·Ñ?
ÒѾÓÐ291È˻ظ´













»Ø¸´´ËÂ¥
10