²é¿´: 493  |  »Ø¸´: 11

CherishM1014

гæ (СÓÐÃûÆø)


ÒÑÁìÍê
»ý·Ö¼ÆËã
ÁìÈ¡ºì°ü (Сľ³æÊÖ»úappרÊôºì°ü)

ɨһɨ£¬ÏÂÔØÐ¡Ä¾³æ¿Í»§¶Ë

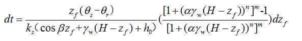
ÓÐûÓÐÊýѧ´óÉñ°ïæָµ¼ÏÂѽ£¬¼ÆËãzf»ý·Ö£¬¹«Ê½ÖгýÁËzfºÍtÆäËû¶¼ÊÇ´óÓÚÁãµÄ³£Á¿£¬Ð»Ð»

»ý·Ö¼ÆËã


·¢×ÔСľ³æAndroid¿Í»§¶Ë
»Ø¸´´ËÂ¥

» ²ÂÄãϲ»¶

» ÇÀ½ð±ÒÀ²£¡»ØÌû¾Í¿ÉÒԵõ½:

²é¿´È«²¿É¢½ðÌù

ÒÑÔÄ   »Ø¸´´ËÂ¥   ¹Ø×¢TA ¸øTA·¢ÏûÏ¢ ËÍTAºì»¨ TAµÄ»ØÌû

¶À¹ÂÉñÓî

°æÖ÷ (ÖªÃû×÷¼Ò)


¡ï
Сľ³æ: ½ð±Ò+0.5, ¸ø¸öºì°ü£¬Ð»Ð»»ØÌû
ÕâÐèÒª¸ø¶¨»ý·Ö·¶Î§½øÐÐÊýÖµÇó½â°É

·¢×ÔСľ³æIOS¿Í»§¶Ë
8Â¥2017-09-26 16:48:56
ÒÑÔÄ   »Ø¸´´ËÂ¥   ¹Ø×¢TA ¸øTA·¢ÏûÏ¢ ËÍTAºì»¨ TAµÄ»ØÌû

bsese

ÖÁ×ðľ³æ (ÎÄ̳¾«Ó¢)


¡ï
Сľ³æ: ½ð±Ò+0.5, ¸ø¸öºì°ü£¬Ð»Ð»»ØÌû
¿ÉÓÃmatlabÊýÖµÇó½â¡£

·¢×ÔСľ³æAndroid¿Í»§¶Ë
9Â¥2017-09-26 16:56:59
ÒÑÔÄ   »Ø¸´´ËÂ¥   ¹Ø×¢TA ¸øTA·¢ÏûÏ¢ ËÍTAºì»¨ TAµÄ»ØÌû

CherishM1014

гæ (СÓÐÃûÆø)


ÒýÓûØÌû:
8Â¥: Originally posted by ¶À¹ÂÉñÓî at 2017-09-26 16:48:56
ÕâÐèÒª¸ø¶¨»ý·Ö·¶Î§½øÐÐÊýÖµÇó½â°É

ÓвÎÊý·¶Î§£¬h£¾0£¬5£¼H£¼10£¬¦Ã£½9.8£¬ÆäËû²ÎÊý¶¼ÊÇ´óÓÚ0СÓÚ1µÄ
»ý·Ö¼ÆËã-1


»ý·Ö¼ÆËã-2



·¢×ÔСľ³æAndroid¿Í»§¶Ë
10Â¥2017-09-26 18:24:48
ÒÑÔÄ   »Ø¸´´ËÂ¥   ¹Ø×¢TA ¸øTA·¢ÏûÏ¢ ËÍTAºì»¨ TAµÄ»ØÌû

CherishM1014

гæ (СÓÐÃûÆø)


ÒýÓûØÌû:
10Â¥: Originally posted by CherishM1014 at 2017-09-26 18:24:48
ÓвÎÊý·¶Î§£¬h£¾0£¬5£¼H£¼10£¬¦Ã£½9.8£¬ÆäËû²ÎÊý¶¼ÊÇ´óÓÚ0СÓÚ1µÄ


...

nÊÇ£¾1µÄ

·¢×ÔСľ³æAndroid¿Í»§¶Ë
11Â¥2017-09-26 18:25:24
ÒÑÔÄ   »Ø¸´´ËÂ¥   ¹Ø×¢TA ¸øTA·¢ÏûÏ¢ ËÍTAºì»¨ TAµÄ»ØÌû

¶À¹ÂÉñÓî

°æÖ÷ (ÖªÃû×÷¼Ò)


¡ï
Сľ³æ: ½ð±Ò+0.5, ¸ø¸öºì°ü£¬Ð»Ð»»ØÌû
ÒýÓûØÌû:
10Â¥: Originally posted by CherishM1014 at 2017-09-26 18:24:48
ÓвÎÊý·¶Î§£¬h£¾0£¬5£¼H£¼10£¬¦Ã£½9.8£¬ÆäËû²ÎÊý¶¼ÊÇ´óÓÚ0СÓÚ1µÄ


...

³ý·ÇÄܹ»µÃµ½½âÎö½â£¬·ñÔò£¬ÊýÖµÇó½â½â£¬ ²ÎÊýÐèÒª¾ßÌåµÄȡֵ £¬ÒÔ¼°»ý·Ö·¶Î§
12Â¥2017-09-26 20:07:15
ÒÑÔÄ   »Ø¸´´ËÂ¥   ¹Ø×¢TA ¸øTA·¢ÏûÏ¢ ËÍTAºì»¨ TAµÄ»ØÌû
¼òµ¥»Ø¸´
2017-09-26 16:45   »Ø¸´  
CherishM1014(½ð±Ò+19): лл²ÎÓë
ÒÑ»ñµÃ19¸ö½ð±Ò ·¢×ÔСľ³æIOS¿Í»§¶Ë
2017-09-26 16:46   »Ø¸´  
CherishM1014(½ð±Ò+2): лл²ÎÓë
ÒÑ»ñµÃ2¸ö½ð±Ò ·¢×ÔСľ³æAndroid¿Í»§¶Ë
2017-09-26 16:46   »Ø¸´  
CherishM1014(½ð±Ò+6): лл²ÎÓë
ÒÑ»ñµÃ6¸ö½ð±Ò ·¢×ÔСľ³æAndroid¿Í»§¶Ë
2017-09-26 16:47   »Ø¸´  
CherishM1014(½ð±Ò+10): лл²ÎÓë
ÒÑ»ñµÃ10¸ö½ð±Ò ·¢×ÔСľ³æIOS¿Í»§¶Ë
pandongzi7Â¥
2017-09-26 16:48   »Ø¸´  
CherishM1014(½ð±Ò+13): лл²ÎÓë
ÒÑ»ñµÃ13¸ö½ð±Ò ·¢×ÔСľ³æIOS¿Í»§¶Ë
Ïà¹Ø°æ¿éÌø×ª ÎÒÒª¶©ÔÄÂ¥Ö÷ CherishM1014 µÄÖ÷Ìâ¸üÐÂ
×î¾ßÈËÆøÈÈÌûÍÆ¼ö [²é¿´È«²¿] ×÷Õß »Ø/¿´ ×îºó·¢±í
[¿¼ÑÐ] Çóµ÷¼Á +3 Mqqqqqq 2026-03-19 3/150 2026-03-19 14:11 by peike
[¿¼ÑÐ] ²ÄÁÏ080500µ÷¼ÁÇóÊÕÁô +4 Ò»¿Åmeteor 2026-03-13 4/200 2026-03-19 10:32 by 30660438
[¿¼ÑÐ] ²ÄÁϹ¤³Ìר˶µ÷¼Á +5 204818@lcx 2026-03-17 6/300 2026-03-18 22:55 by 204818@lcx
[¿¼ÑÐ] ²ÄÁÏרҵÇóµ÷¼Á +5 hanamiko 2026-03-18 5/250 2026-03-18 20:19 by ÐÇ¿ÕÐÇÔÂ
[¿¼ÑÐ] »¯Ñ§¹¤³Ì321·ÖÇóµ÷¼Á +15 ´óÃ×·¹£¡ 2026-03-15 18/900 2026-03-18 14:52 by haxia
[¿¼ÑÐ] ²ÄÁÏר˶306Ó¢Ò»Êý¶þ +10 z1z2z3879 2026-03-16 13/650 2026-03-18 14:20 by 007_lilei
[¿¼ÑÐ] ¹¤¿Æ²ÄÁÏ085601 279Çóµ÷¼Á +6 À§ÓÚÐdz¿ 2026-03-17 6/300 2026-03-18 10:21 by kkcoco25
[¿¼ÑÐ] 0703»¯Ñ§336·ÖÇóµ÷¼Á +6 zbzihdhd 2026-03-15 7/350 2026-03-18 09:53 by zhukairuo
[¿¼ÑÐ] 326Çóµ÷¼Á +5 Éϰ¶µÄСÆÏ 2026-03-15 6/300 2026-03-17 17:26 by ruiyingmiao
[¿¼ÑÐ] ¿¼Ñл¯Ñ§Ñ§Ë¶µ÷¼Á£¬Ò»Ö¾Ô¸985 +4 ÕÅvvvv 2026-03-15 6/300 2026-03-17 17:15 by ruiyingmiao
[¿¼ÑÐ] Ò»Ö¾Ô¸ÄϾ©´óѧ£¬080500²ÄÁÏ¿ÆÑ§Ó빤³Ì£¬µ÷¼Á +4 Jy? 2026-03-16 4/200 2026-03-17 11:02 by gaoqiong
[¿¼ÑÐ] 275Çóµ÷¼Á +4 Ì«Ñô»¨ÌìÌ쿪ÐÄ 2026-03-16 4/200 2026-03-17 10:53 by ¹¦·ò·è¿ñ
[¿¼ÑÐ] 11408 Ò»Ö¾Ô¸Î÷µç£¬277·ÖÇóµ÷¼Á +3 zhouzhen654 2026-03-16 3/150 2026-03-17 07:03 by laoshidan
[¿¼ÑÐ] 326Çóµ÷¼Á +4 ŵ±´¶û»¯Ñ§½±êéê 2026-03-15 7/350 2026-03-16 17:11 by ŵ±´¶û»¯Ñ§½±êéê
[¿¼ÑÐ] 0703Ò»Ö¾Ô¸211 285·ÖÇóµ÷¼Á +5 ly3471z 2026-03-13 5/250 2026-03-16 16:16 by ŶŶ123
[¿¼ÑÐ] 070300»¯Ñ§Ñ§Ë¶Çóµ÷¼Á +6 Ì«Ïë½ø²½ÁË0608 2026-03-16 6/300 2026-03-16 16:13 by kykm678
[¿¼ÑÐ] 277²ÄÁÏ¿ÆÑ§Ó빤³Ì080500Çóµ÷¼Á +3 ×ÔÓɼå±ý¹û×Ó 2026-03-16 3/150 2026-03-16 14:10 by ÔËÆøyunqi
[¿¼ÑÐ] 288Çóµ÷¼Á +4 Ææµã0314 2026-03-14 4/200 2026-03-14 23:04 by JourneyLucky
[¿¼ÑÐ] ²ÄÁÏÓ뻯¹¤ 323 Ó¢Ò»+Êý¶þ+Îﻯ£¬Ò»Ö¾Ô¸£º¹þ¹¤´ó ±¾È˱¾¿ÆË«Ò»Á÷ +4 ×ÔÓɵÄ_·ÉÏè 2026-03-13 5/250 2026-03-14 19:39 by hmn_wj
[¿¼ÑÐ] 085600²ÄÁÏÓ뻯¹¤ 309·ÖÇëÇóµ÷¼Á +7 dtdxzxx 2026-03-12 8/400 2026-03-13 14:43 by jxchenghu
ÐÅÏ¢Ìáʾ
ÇëÌî´¦ÀíÒâ¼û