| ²é¿´: 411 | »Ø¸´: 2 | ||||
°Èȱidhyгæ (³õÈëÎÄ̳)
|
[ÇóÖú]
½¨Ä£ÇóÖú ÒÑÓÐ2È˲ÎÓë
|
|||
|
|
||||
pigrassר¼Ò¹ËÎÊ (ÖøÃûдÊÖ)
ÒÁ¿¨Ë¹ÌصÄСÖí
|
¡¾´ð°¸¡¿Ó¦Öú»ØÌû
¸Ðл²ÎÓ룬ӦÖúÖ¸Êý +1
|
|||
![]() |
||||
|
2Â¥2017-09-26 09:37:00
|
|
|||
Dr_JesseÌú¸Ëľ³æ (ÖøÃûдÊÖ)
²×º£Ò»ËÚ£¬ºÆÓîÐdz¾
|
||||
![]() |
||||
|
3Â¥2017-09-26 14:32:07
|
|













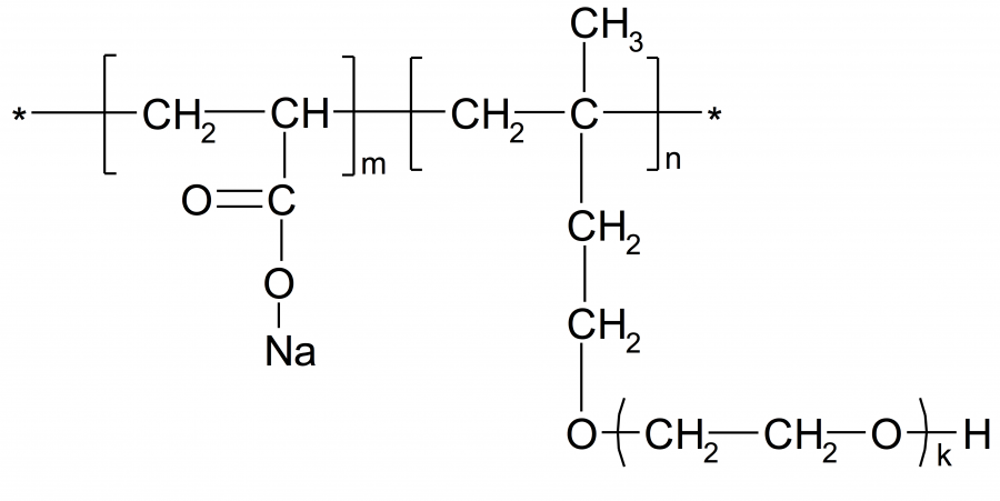
ÕâÑùµÄ¾ÛºÏÎï½á¹¹ÔÚMSÖÐÓ¦¸ÃÔõô½¨Ä£ÐÍ Çó´óÉñ°ïÖú£¡m n kµÄÊýÁ¿ÄÜÖÆ¶¨Âð£¿
»Ø¸´´ËÂ¥
