| ²é¿´: 4949 | »Ø¸´: 6 | |
¶ÀÍùÑÌ»ðÌú³æ (³õÈëÎÄ̳)
|
[ÇóÖú]
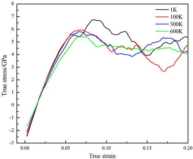
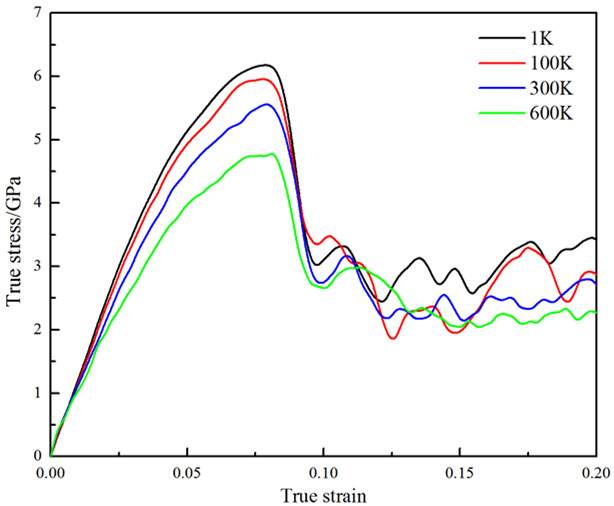
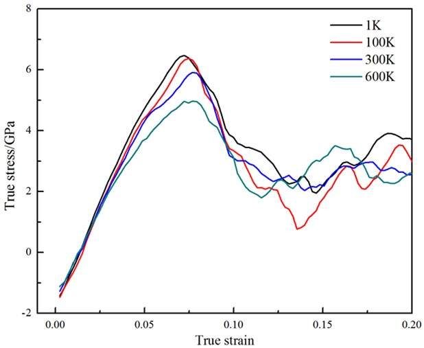
ÓÃlammpsÄ£Äâ¦Ã-TiAlË«¾§Ìåµ¥ÏòÀÉ죬ӦÁ¦Ó¦±äÇúÏß²»´ÓÁ㿪ʼ ÒÑÓÐ2È˲ÎÓë
|
|
|
|
Ò»³¯Ò»Ï¦·Ü¶·Ð³æ (³õÈëÎÄ̳)
|
|
|
2Â¥2017-09-28 15:32:34
|
|
lx_PICOÌú³æ (ÕýʽдÊÖ)
|
|
|
3Â¥2017-10-09 21:39:14
|
|
13191836807гæ (³õÈëÎÄ̳)
|
|
|
4Â¥2018-06-09 18:06:28
|
|
ÊÇÎ÷¹Ï°¡Ìú³æ (³õÈëÎÄ̳)
|
|
|
5Â¥2019-01-10 10:18:14
|
|
Smuchsгæ (ÕýʽдÊÖ)
|
|
|
6Â¥2019-06-24 09:25:20
|
|
stillatÒø³æ (СÓÐÃûÆø)
|
|
|
7Â¥2020-06-24 05:15:38
|
|














»Ø¸´´ËÂ¥