| ²é¿´: 864 | »Ø¸´: 3 | ||
tan1127гæ (³õÈëÎÄ̳)
|
[ÇóÖú]
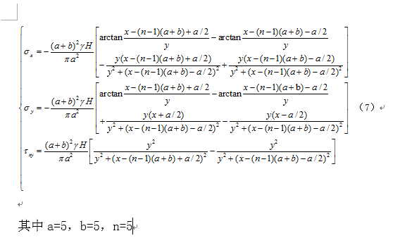
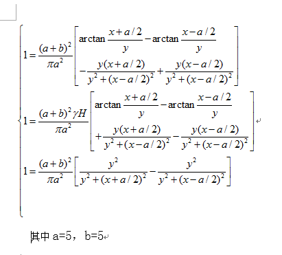
ÓÐûÓиßÊÖÄÜÓÃMATLAB»òÕßMathmatuc»³öµ¯ÐÔÁ¦Ñ§ÖеĹ«Ê½µÄͼÏñ£¬ÈçÏÂËùʾ ÒÑÓÐ1È˲ÎÓë
|
|
»³öÒ»¸öÆ½Ãæ×ø±êϵµÄx¡¢yµÄÇúÏߣ¬Ò»¸öÊǵ¥Ò»ºÉÔØ£¬ÁíÒ»¸öÊǶà¸öºÉÔØµþ¼Ó %`REAL(J4J}9GZN9K4{KNTD.png 11111.png |
» ²ÂÄãϲ»¶
0702Ò»Ö¾Ô¸¼ª´óBÇøÇóµ÷¼Á ±¾¿ÆÆÚ¼ä·¢±íһƪSci
ÒѾÓÐ2È˻ظ´
070200Çóµ÷¼Á£¬Ò»Ö¾Ô¸Ä³211£¬288·Ö
ÒѾÓÐ18È˻ظ´
ÎïÀíѧIÂÛÎÄÈóÉ«/·ÒëÔõôÊÕ·Ñ?
ÒѾÓÐ71È˻ظ´
·¨¹ú²©Ê¿ºóְλ
ÒѾÓÐ0È˻ظ´
ÖØÇì½»´ó26Äê˶ʿÉúÕÐÉúÄâµ÷¼Á֪ͨÒѳö£¡»¶Ó¼ÓÈë»úÆ÷ÊÓ¾õÓë3D¹âѧ³ÉÏñ¿ÎÌâ×é¡£
ÒѾÓÐ0È˻ظ´
**
ÒѾÓÐ1È˻ظ´
0702Ò»Ö¾Ô¸¼ª´óBÇøÇóµ÷¼Á ±¾¿ÆÆÚ¼ä·¢±íһƪSci
ÒѾÓÐ0È˻ظ´
»ùµ×STO,±¡Ä¤SRO£¬XRDÀïÃæµÄÕñµ´£¬ÊÇlaueÕðµ´»¹ÊÇkiessigÕñµ´? ÔõôÅжϣ¿
ÒѾÓÐ0È˻ظ´
lamli
ľ³æ (ÕýʽдÊÖ)
- Ó¦Öú: 0 (Ó×¶ùÔ°)
- ½ð±Ò: 3173.8
- É¢½ð: 135
- ºì»¨: 7
- ɳ·¢: 3
- Ìû×Ó: 998
- ÔÚÏß: 128Сʱ
- ³æºÅ: 4232483
- ×¢²á: 2015-11-19
- ÐÔ±ð: GG
- רҵ: ¿ó´²Ñ§
2Â¥2017-09-20 17:01:43
¶À¹ÂÉñÓî
°æÖ÷ (ÖªÃû×÷¼Ò)
- Ó¦Öú: 490 (˶ʿ)
- ¹ó±ö: 0.008
- ½ð±Ò: 31016.3
- É¢½ð: 802
- ºì»¨: 122
- ɳ·¢: 1
- Ìû×Ó: 5600
- ÔÚÏß: 856.5Сʱ
- ³æºÅ: 3522474
- ×¢²á: 2014-11-06
- ÐÔ±ð: GG
- רҵ: »úе¶¯Á¦Ñ§
- ¹ÜϽ: ¼ÆËãÄ£Äâ

3Â¥2017-09-20 17:07:22
cooooldog
Ìú¸Ëľ³æ (ÖøÃûдÊÖ)
ส็็็
- Ó¦Öú: 237 (´óѧÉú)
- ½ð±Ò: 6101.9
- É¢½ð: 1114
- ºì»¨: 39
- Ìû×Ó: 1380
- ÔÚÏß: 553.8Сʱ
- ³æºÅ: 506699
- ×¢²á: 2008-02-18
- רҵ: ģʽʶ±ð

4Â¥2017-09-20 21:58:43














»Ø¸´´ËÂ¥