| ²é¿´: 406 | »Ø¸´: 1 | ||
Çå·çÂÞ½ð³æ (ÕýʽдÊÖ)
Ñо¿Éú
|
[ÇóÖú]
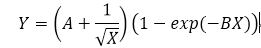
Çóº¯ÊýÇ󼫴óÖµ£¬A,B,XÔÈ´óÓÚ0£¡
|
|
Çó´óÉñ°ïæÇóº¯ÊýµÄ¼«´óÖµµã£¬Ó÷ûºÅA,B±íʾ¡£ 333.png@laosam280 |
» ²ÂÄãϲ»¶
272·Ö²ÄÁÏ×ÓÇóµ÷¼Á
ÒѾÓÐ36È˻ظ´
275Çóµ÷¼Á
ÒѾÓÐ8È˻ظ´
µ÷¼ÁÇóÊÕÁô
ÒѾÓÐ5È˻ظ´
Ò»Ö¾Ô¸211£¬»¯Ñ§Ñ§Ë¶£¬310·Ö£¬±¾¿ÆÖصãË«·Ç£¬Çóµ÷¼Á
ÒѾÓÐ20È˻ظ´
070300»¯Ñ§Ñ§Ë¶311·ÖÇóµ÷¼Á
ÒѾÓÐ19È˻ظ´
²ÄÁÏÓ뻯¹¤µ÷¼Á
ÒѾÓÐ13È˻ظ´
²ÄÁÏÓ뻯¹¤µ÷¼Á
ÒѾÓÐ33È˻ظ´
¸´ÊÔµ÷¼Á
ÒѾÓÐ7È˻ظ´
Ò»Ö¾Ô¸¹þ¹¤´ó 085600 277 12²Ä¿Æ»ùÇóµ÷¼Á
ÒѾÓÐ17È˻ظ´
»¹Óл¯¹¤¶þÂÖµ÷¼ÁµÄѧУÂð
ÒѾÓÐ47È˻ظ´

Çå·çÂÞ
½ð³æ (ÕýʽдÊÖ)
Ñо¿Éú
- Ó¦Öú: 13 (СѧÉú)
- ½ð±Ò: 303.5
- É¢½ð: 1064
- ºì»¨: 3
- Ìû×Ó: 935
- ÔÚÏß: 339.3Сʱ
- ³æºÅ: 1686744
- ×¢²á: 2012-03-13
- רҵ: µç»¯Ñ§

2Â¥2017-09-20 16:33:39













»Ø¸´´ËÂ¥