| 查看: 278 | 回复: 1 | ||
[求助]
大学物化一道热力学问题
|
|
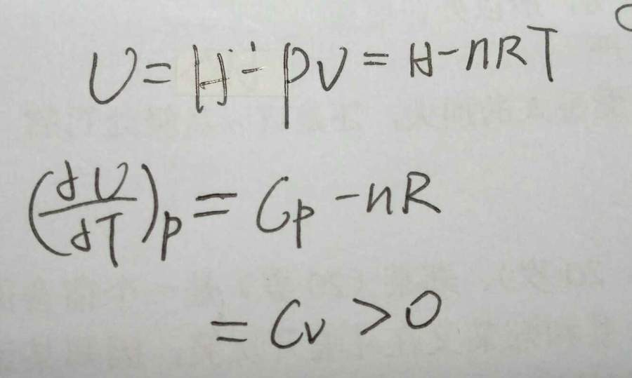
题目如图,下面是我的推导过程。答案给的B ,但是根据我的过程应该是A,希望各位高手指出我的或者是答案的错误,亦或有其他看法 发自小木虫Android客户端 |
» 猜你喜欢
武汉纺织大学-材料科学与工程学院-姜伟杰青团队-招生物方向调剂
已经有0人回复
武汉纺织大学-材料科学与工程学院-招 生物方向 硕士!
已经有0人回复
有机高分子材料论文润色/翻译怎么收费?
已经有175人回复
武汉纺织大学-材料科学与工程学院-姜伟杰青团队-招生物方向调剂
已经有0人回复
[武汉纺织大学]材料学院[姜伟团队名称]课题组-2026年硕士研究生调剂信息
已经有0人回复
武汉纺织大学-材料科学与工程学院-姜伟杰青团队-招调剂
已经有0人回复
生物医学材料前沿科普:低密度、高孔隙率的“多孔微球”核心技术与应用全景
已经有1人回复
湖南工业大学周贵寅组招生物医学工程(学硕07、08都行)、生物与医药(专硕08)硕士生
已经有0人回复
湖南工业大学周贵寅组招生物医学工程(学硕07、08都行)和生物与医药(专硕08)硕士生
已经有0人回复
考研求调剂
已经有0人回复
2026年中南民族大学化学与材料科学学院调剂公告
已经有30人回复
醉panda
金虫 (著名写手)
- 应助: 47 (小学生)
- 金币: 1038.9
- 散金: 429
- 红花: 18
- 沙发: 1
- 帖子: 1367
- 在线: 132.5小时
- 虫号: 6548321
- 注册: 2017-05-17
- 专业: 药物化学

2楼2017-09-20 15:07:50














回复此楼