| 查看: 960 | 回复: 1 | ||
manu87新虫 (正式写手)
|
[求助]
求助怎么用中心差分法获得以下偏微分方程的差分方程?
|
|
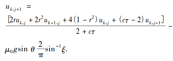
如题。用中心差分法求解以下偏微分方程。 尝试了中心差分法,但总是多了Uk+1,j一项,而且各项系数也跟已知的差分方程不一致。 求大神帮助。先行谢过 方程中,r1,r2为内外径,μpv、ξ、ρ、θ、g、τ0、E、μ0均为常数 偏微分方程.png 差分方程.png |
» 猜你喜欢
三甲基碘化亚砜的氧化反应
已经有4人回复
请问下大家为什么这个铃木偶联几乎不反应呢
已经有5人回复
请问有评职称,把科研教学业绩算分排序的高校吗
已经有5人回复
孩子确诊有中度注意力缺陷
已经有12人回复
2025冷门绝学什么时候出结果
已经有3人回复
天津工业大学郑柳春团队欢迎化学化工、高分子化学或有机合成方向的博士生和硕士生加入
已经有4人回复
康复大学泰山学者周祺惠团队招收博士研究生
已经有6人回复
AI论文写作工具:是科研加速器还是学术作弊器?
已经有3人回复
论文投稿,期刊推荐
已经有4人回复
硕士和导师闹得不愉快
已经有13人回复

2楼2017-10-24 08:59:20














回复此楼