Znn3bq.jpeg
±±¾©Ê¯ÓÍ»¯¹¤Ñ§Ôº2026ÄêÑо¿ÉúÕÐÉú½ÓÊÕµ÷¼Á¹«¸æ
²é¿´: 2642  |  »Ø¸´: 10

һֻС·É¶êѽ

гæ (³õÈëÎÄ̳)


ÒÑÁìÍê
ÒºÖÊÁªÓÃÖÊÆ×ͼÖУ¬×î´óm/zÓë´ý²âÑùÆ·µÄ·Ö×ÓÁ¿Ïà²îºÜ´ó£¿
ÁìÈ¡ºì°ü (Сľ³æÊÖ»úappרÊôºì°ü)

ɨһɨ£¬ÏÂÔØÐ¡Ä¾³æ¿Í»§¶Ë

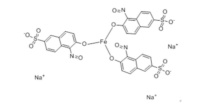
³õ´Î½Ó´¥ÒºÖÊÁªÓá£ÎÒµÄÖÊÆ×ͼÖУ¬×î´óµÄm/zÓëËù²âÎïÖʵķÖ×ÓÁ¿(878.46)Ïà²îºÜ´ó¡£ºÜÀ§»ó£¬·Ö×ӽṹÔÚ²âÑù¹ý³ÌÖÐÄѵÀ·¢ÉúÁ˱仯£¿ÖÊÆ×ͼ¾ßÌå·´Ó³µÄÊǸöʲôÑùµÄ½á¹¹£¿Ï£Íû¸÷λ´óÏÀÄܹ»Ö¸µãÃÔ½ò£¡²»Ê¤¸Ð¼¤£¡ÏÂÃæ¸½ÉÏ»¯Ñ§½á¹¹Í¼ºÍÖÊÆ×ͼ¡£

ÒºÖÊÁªÓÃÖÊÆ×ͼÖУ¬×î´óm/zÓë´ý²âÑùÆ·µÄ·Ö×ÓÁ¿Ïà²îºÜ´ó£¿


·¢×ÔСľ³æAndroid¿Í»§¶Ë
»Ø¸´´ËÂ¥

» ²ÂÄãϲ»¶

» ±¾Ö÷ÌâÏà¹ØÉ̼ÒÍÆ¼ö: (ÎÒÒ²ÒªÔÚÕâÀïÍÆ¹ã)

» ÇÀ½ð±ÒÀ²£¡»ØÌû¾Í¿ÉÒԵõ½:

²é¿´È«²¿É¢½ðÌù

ÒÑÔÄ   »Ø¸´´ËÂ¥   ¹Ø×¢TA ¸øTA·¢ÏûÏ¢ ËÍTAºì»¨ TAµÄ»ØÌû

һֻС·É¶êѽ

гæ (³õÈëÎÄ̳)


ÒýÓûØÌû:
1Â¥: Originally posted by һֻС·É¶êѽ at 2017-09-08 11:24:56
³õ´Î½Ó´¥ÒºÖÊÁªÓá£ÎÒµÄÖÊÆ×ͼÖУ¬×î´óµÄm/zÓëËù²âÎïÖʵķÖ×ÓÁ¿(878.46)Ïà²îºÜ´ó¡£ºÜÀ§»ó£¬·Ö×ӽṹÔÚ²âÑù¹ý³ÌÖÐÄѵÀ·¢ÉúÁ˱仯£¿ÖÊÆ×ͼ¾ßÌå·´Ó³µÄÊǸöʲôÑùµÄ½á¹¹£¿Ï£Íû¸÷λ´óÏÀÄܹ»Ö¸µãÃÔ½ò£¡²»Ê¤¸Ð¼¤£¡ÏÂÃæ¸½ÉÏ ...

ÖÊÆ×
ÒºÖÊÁªÓÃÖÊÆ×ͼÖУ¬×î´óm/zÓë´ý²âÑùÆ·µÄ·Ö×ÓÁ¿Ïà²îºÜ´ó£¿-1



·¢×ÔСľ³æAndroid¿Í»§¶Ë
5Â¥2017-09-08 11:26:56
ÒÑÔÄ   »Ø¸´´ËÂ¥   ¹Ø×¢TA ¸øTA·¢ÏûÏ¢ ËÍTAºì»¨ TAµÄ»ØÌû

wy19871124

гæ (Ö°Òµ×÷¼Ò)


10Â¥2017-09-08 11:29:40
ÒÑÔÄ   »Ø¸´´ËÂ¥   ¹Ø×¢TA ¸øTA·¢ÏûÏ¢ ËÍTAºì»¨ TAµÄ»ØÌû

һֻС·É¶êѽ

гæ (³õÈëÎÄ̳)


ÒýÓûØÌû:
10Â¥: Originally posted by wy19871124 at 2017-09-08 11:29:40
ûÓÐÖÊÆ×ͼ°¡

¸Õ¸Õû·¢ÉÏÀ´
ÒºÖÊÁªÓÃÖÊÆ×ͼÖУ¬×î´óm/zÓë´ý²âÑùÆ·µÄ·Ö×ÓÁ¿Ïà²îºÜ´ó£¿-2



·¢×ÔСľ³æAndroid¿Í»§¶Ë
11Â¥2017-09-08 12:02:15
ÒÑÔÄ   »Ø¸´´ËÂ¥   ¹Ø×¢TA ¸øTA·¢ÏûÏ¢ ËÍTAºì»¨ TAµÄ»ØÌû
¼òµ¥»Ø¸´
2017-09-08 11:25   »Ø¸´  
һֻС·É¶êѽ(½ð±Ò+1): лл²ÎÓë
ÒÑ»ñµÃ1¸ö½ð±Ò ·¢×ÔСľ³æIOS¿Í»§¶Ë
pandongzi3Â¥
2017-09-08 11:25   »Ø¸´  
һֻС·É¶êѽ(½ð±Ò+1): лл²ÎÓë
ÒÑ»ñµÃ1¸ö½ð±Ò ·¢×ÔСľ³æIOS¿Í»§¶Ë
2017-09-08 11:26   »Ø¸´  
һֻС·É¶êѽ(½ð±Ò+1): лл²ÎÓë
ÒÑ»ñµÃ1¸ö½ð±Ò ·¢×ÔСľ³æAndroid¿Í»§¶Ë
4182362856Â¥
2017-09-08 11:27   »Ø¸´  
һֻС·É¶êѽ(½ð±Ò+1): лл²ÎÓë
ÒÑ»ñµÃ1¸ö½ð±Ò ·¢×ÔСľ³æAndroid¿Í»§¶Ë
grace40017Â¥
2017-09-08 11:27   »Ø¸´  
һֻС·É¶êѽ(½ð±Ò+1): лл²ÎÓë
ÒÑ»ñµÃ1¸ö½ð±Ò ·¢×ÔСľ³æAndroid¿Í»§¶Ë
wy198711248Â¥
2017-09-08 11:27   »Ø¸´  
һֻС·É¶êѽ(½ð±Ò+2): лл²ÎÓë
ÒÑ»ñµÃ2¸ö½ð±Ò ·¢×ÔСľ³æAndroid¿Í»§¶Ë
2017-09-08 11:27   »Ø¸´  
һֻС·É¶êѽ(½ð±Ò+1): лл²ÎÓë
ÒÑ»ñµÃ1¸ö½ð±Ò ·¢×ÔСľ³æAndroid¿Í»§¶Ë
Ïà¹Ø°æ¿éÌø×ª ÎÒÒª¶©ÔÄÂ¥Ö÷ һֻС·É¶êѽ µÄÖ÷Ìâ¸üÐÂ
×î¾ßÈËÆøÈÈÌûÍÆ¼ö [²é¿´È«²¿] ×÷Õß »Ø/¿´ ×îºó·¢±í
[¿¼ÑÐ] 278Çóµ÷¼Á +13 ·¶æÃÄÈ 2026-04-07 14/700 2026-04-07 22:42 by À´¿´Á÷ÐÇÓê10
[¿¼ÑÐ] »úеµ÷¼Á +3 zzzbcb 2026-04-07 3/150 2026-04-07 22:19 by hemengdong
[¿¼ÑÐ] 316Çóµ÷¼Á +4 15318418673 2026-04-07 4/200 2026-04-07 22:12 by hemengdong
[¿¼ÑÐ] 318Çóµ÷¼Á +5 ÀîÇàɽɽɽ 2026-04-07 5/250 2026-04-07 18:24 by À¶ÔÆË¼Óê
[¿¼ÑÐ] 085600²ÄÁÏÓ뻯¹¤301·ÖÇóµ÷¼ÁԺУ +25 ´ÌÍ´jk 2026-04-06 26/1300 2026-04-07 15:07 by -ÃÔÁË·°¡Â·
[¿¼ÑÐ] 22408 318·ÖÇóµ÷¼Á +4 ÇڷܵÄСÁý°ü 2026-04-06 6/300 2026-04-07 15:05 by Ö½º×555
[¿¼ÑÐ] 285Çóµ÷¼Á +16 ŶßϺôo 2026-04-04 16/800 2026-04-07 12:31 by 1018329917
[¿¼ÑÐ] ²ÄÁϵ÷¼Á +13 Ò»ÑùYWY 2026-04-05 14/700 2026-04-07 09:51 by piklet
[¿¼ÑÐ] 292Çóµ÷¼Á +4 lilllllxccc 2026-04-05 5/250 2026-04-07 09:29 by ·Ä´óÑîÀÏʦ
[¿¼ÑÐ] Ò»Ö¾Ô¸°²»Õij211 0703»¯Ñ§×Ü·Ö339Çóµ÷¼Á +7 Íí·ç²»Íí 2026-04-04 7/350 2026-04-06 14:06 by houyaoxu
[¿¼ÑÐ] 308Çóµ÷¼Á +4 maverick^_^ 2026-04-03 4/200 2026-04-05 19:08 by À¶ÔÆË¼Óê
[¿¼ÑÐ] ¼ÆËã»ú11408£¬286·ÖÇóµ÷¼Á +7 ľ×ÓÄî•„ 2026-04-05 7/350 2026-04-05 19:02 by chy09050039
[¿¼ÑÐ] Çó +5 »¯¹¤×¨Ë¶323·Ö 2026-04-04 5/250 2026-04-05 08:02 by 544594351
[¿¼ÑÐ] 296²ÄÁÏר˶Çóµ÷¼Á +21 202451007219 2026-04-02 22/1100 2026-04-04 21:48 by hemengdong
[¿¼ÑÐ] 387Çóµ÷¼Á +4 °®³ÔƬ¶¹ÍÁ 2026-04-03 5/250 2026-04-04 08:10 by °¶ÉϵÄÒ»ÌõÓã
[¿¼ÑÐ] µ÷¼Á0855-288 +5 xÐܶþa 2026-04-03 5/250 2026-04-04 00:19 by Öí»á·É
[¿¼ÑÐ] Çóµ÷¼Á +4 15064154688 2026-04-03 5/250 2026-04-03 15:07 by zrongyan
[¿¼ÑÐ] 320Çóµ÷¼Á +3 ũҵ¹¤³ÌÓëÐÅÏ¢¼ 2026-04-03 3/150 2026-04-03 11:40 by ÍÁľ˶ʿÕÐÉú
[¿¼ÑÐ] ÄÜÔ´¶¯Á¦ µ÷¼Á +3 ²»ÆÆ²»Á¢0 2026-04-02 3/150 2026-04-02 12:46 by ffffjjjj
[¿¼ÑÐ] 353Çóµ÷¼Á +4 À­¹³²»Ðí±ä 2026-04-01 4/200 2026-04-01 18:10 by ¼Çʱ¾2026
ÐÅÏ¢Ìáʾ
ÇëÌî´¦ÀíÒâ¼û