| 查看: 4920 | 回复: 3 | |||
[求助]
ORR测试,电化学活性面积 已有2人参与
|
氧还原ORR | 电催化 |
» 猜你喜欢
核磁分析软件MestReNova打开文件时报错
已经有0人回复
在职博后不能申请博后基金了,那么在职博后意义何在?
已经有2人回复
分析化学论文润色/翻译怎么收费?
已经有162人回复
青岛大学化学化工学院分子测量学研究院2026年招收博士研究生
已经有0人回复
香港科技大学(广州)诚招电催化方向博士生(2026秋入学)
已经有0人回复
求助Cu2+1O的CIF文件(PDF: 05-0667)
已经有1人回复
KAUST(阿卜杜拉国王科技大学)MXene 器件方向博士后招聘
已经有0人回复
沙特阿拉伯阿卜杜拉国王科技大学(KAUST)电池方向博士后招聘
已经有0人回复
福州大学新能源材料与工程研究院招收2026年入学博士
已经有0人回复
» 本主题相关商家推荐: (我也要在这里推广)
» 本主题相关价值贴推荐,对您同样有帮助:
求助材料比表面积与ORR反应的电流密度的关系
已经有3人回复
strugglejsp
木虫 (正式写手)
- 应助: 96 (初中生)
- 金币: 2965.7
- 散金: 60
- 红花: 14
- 帖子: 524
- 在线: 1023.6小时
- 虫号: 2920866
- 注册: 2014-01-08
- 性别: GG
- 专业: 无机纳米化学
2楼2017-09-06 21:13:16
Scarlett738
铁杆木虫 (正式写手)
- 应助: 2 (幼儿园)
- 金币: 8007.7
- 红花: 2
- 帖子: 745
- 在线: 378.4小时
- 虫号: 478375
- 注册: 2007-12-14
- 性别: MM
- 专业: 能源化工
【答案】应助回帖
感谢参与,应助指数 +1
|
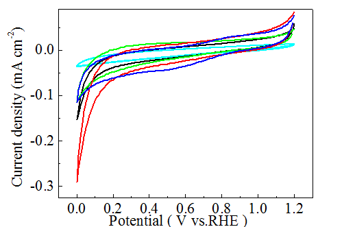
首先计算电化学活性面积是针对铂基电催化剂的,需要扣除双电层的影响,而你的CV显示催化剂应该是非铂,都是双电层电容,无法计算电化学活性面积。 发自小木虫IOS客户端 |
3楼2017-09-06 21:25:28
4楼2017-11-21 15:16:13













回复此楼
