| ²é¿´: 338 | »Ø¸´: 0 | ||
zxdqingyuanͳæ (³õÈëÎÄ̳)
|
[ÇóÖú]
º¯Êý³ËÒÔ¸´Êý»ý·ÖµÄÒâÒå
|
|
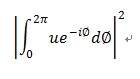
¹«Ê½ÈçͼËùʾ£¬matlabÖÐuÒѾÀëÉ¢»¯¾ØÕóÊý¾Ý£¬Õâ¸öº¯ÊýµÄÒâÒåÏ൱ÓÚuµÄÿ¸öµã³ËÒÔcosµÄƽ·½Â𣿻¹ÊÇÓÐÆäËûÒâÒ壿 ÎÞ±êÌâ.jpg |
» ²ÂÄãϲ»¶
0702Ò»Ö¾Ô¸¼ª´óBÇøÇóµ÷¼Á ±¾¿ÆÆÚ¼ä·¢±íһƪSci
ÒѾÓÐ2È˻ظ´
070200Çóµ÷¼Á£¬Ò»Ö¾Ô¸Ä³211£¬288·Ö
ÒѾÓÐ18È˻ظ´
ÎïÀíѧIÂÛÎÄÈóÉ«/·ÒëÔõôÊÕ·Ñ?
ÒѾÓÐ164È˻ظ´
·¨¹ú²©Ê¿ºóְλ
ÒѾÓÐ0È˻ظ´
ÖØÇì½»´ó26Äê˶ʿÉúÕÐÉúÄâµ÷¼Á֪ͨÒѳö£¡»¶Ó¼ÓÈë»úÆ÷ÊÓ¾õÓë3D¹âѧ³ÉÏñ¿ÎÌâ×é¡£
ÒѾÓÐ0È˻ظ´
**
ÒѾÓÐ1È˻ظ´
0702Ò»Ö¾Ô¸¼ª´óBÇøÇóµ÷¼Á ±¾¿ÆÆÚ¼ä·¢±íһƪSci
ÒѾÓÐ0È˻ظ´
»ùµ×STO,±¡Ä¤SRO£¬XRDÀïÃæµÄÕñµ´£¬ÊÇlaueÕðµ´»¹ÊÇkiessigÕñµ´? ÔõôÅжϣ¿
ÒѾÓÐ0È˻ظ´















»Ø¸´´ËÂ¥