| 查看: 812 | 回复: 0 | |||
| 【有奖交流】积极回复本帖子,参与交流,就有机会分得作者 小强aaa 的 30 个金币 | |||
[交流]
摩擦系数
|
|||
|
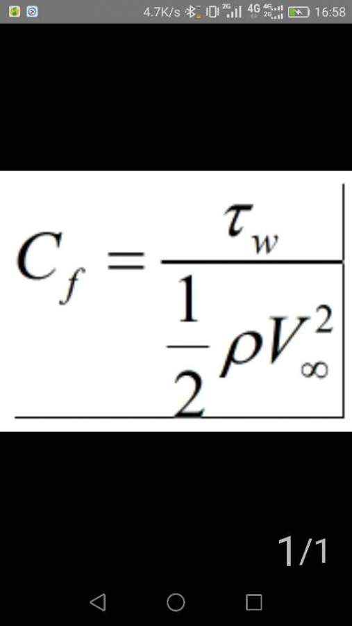
一直没搞明白,范宁摩擦系数的定义和工程求法,如下图的定义所示,有的底下的因子是1/2,而有的怎么是1/8,把我都弄乱了 发自小木虫Android客户端 |
» 猜你喜欢
求调剂
已经有3人回复
一志愿北京化工大学,初试成绩350求调剂
已经有14人回复
复试调剂
已经有4人回复
323分(计算机视觉和大模型项目)能直接上手
已经有3人回复
311分 22408 求调剂
已经有3人回复
320分人工智能调剂
已经有7人回复
一志愿郑大0705求调剂
已经有4人回复
0703化学
已经有10人回复
301求调剂
已经有10人回复
306分材料与化工求调剂
已经有6人回复














回复此楼