24小时热门版块排行榜    

Znn3bq.jpeg
查看: 430  |  回复: 0

假小派

金虫 (正式写手)

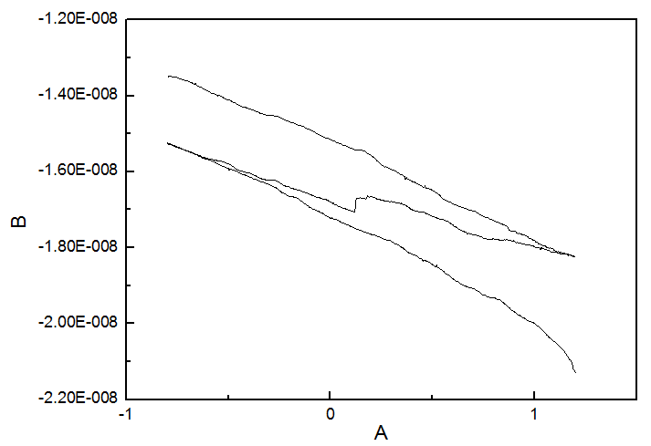
[求助] (求助)我的循环伏安曲线怎么是这个样子的,问题出在哪?求大神解惑。。。

我的循环伏案曲线是之字形的,不闭合,这咋回事啊?问题出在哪?

(求助)我的循环伏安曲线怎么是这个样子的,问题出在哪?求大神解惑。。。
曲线.png
回复此楼
已阅   回复此楼   关注TA 给TA发消息 送TA红花 TA的回帖
相关版块跳转 我要订阅楼主 假小派 的主题更新
最具人气热帖推荐 [查看全部] 作者 回/看 最后发表
[论文投稿] Sci. Bull. 悲剧经验 +4 jyang1999 2026-05-16 4/200 2026-05-19 10:56 by maolC
[考博] 找博士生导师 +6 小代想上岸 2026-05-15 7/350 2026-05-19 10:22 by free_fisher
[基金申请] 同样的基金本子,换个专家直接从C变A! +3 国自然国社科中 2026-05-19 3/150 2026-05-19 08:50 by Equinoxhua
[考博] 云南大学材料与能源学院解琳课题组钙钛矿博士招生 +3 光伏爱好者 2026-05-17 4/200 2026-05-19 01:19 by 风起于浮萍
[基金申请] 面上本子正文33页,违规吗?会被低分嘛? +8 1234567wang 2026-05-17 10/500 2026-05-18 18:52 by zzahkj
[硕博家园] 考博自荐 +5 科研狗111 2026-05-13 6/300 2026-05-18 11:22 by 糊糊涂涂好
[基金申请] 青C资助名额大幅增加! +12 西葫芦炒鸡蛋 2026-05-13 16/800 2026-05-18 10:02 by Equinoxhua
[找工作] 售SCI一区T0P文章,我:8.O.5.5.1.O.5.4,科目齐全,可+急 +5 l7k6xnh0yc 2026-05-14 5/250 2026-05-17 19:39 by Equinoxhua
[考研] 售SCI一区T0P文章,我:8.O.5.5.1.O.5.4,科目齐全,可+急 +6 cjf4bx70cj 2026-05-14 7/350 2026-05-17 18:49 by Equinoxhua
[考博] 光量子物理方向 博士招生 1人(2026.09) +3 sandyworld 2026-05-15 4/200 2026-05-17 14:38 by sandyworld
[考研] 售SCI一区T0P文章,我:8.O.5.5.1.O.5.4,科目齐全,可+急 +4 v9tggjlwd0 2026-05-15 4/200 2026-05-17 08:11 by 11n4dfd8yn
[公派出国] 售SCI一区T0P文章,我:8.O.5.5.1.O.5.4,科目齐全,可+急 +6 l7k6xnh0yc 2026-05-14 6/300 2026-05-17 07:16 by 11n4dfd8yn
[硕博家园] 售SCI一区T0P文章,我:8.O.5.5.1.O.5.4,科目齐全,可+急 +5 cjf4bx70cj 2026-05-14 7/350 2026-05-17 06:55 by 11n4dfd8yn
[考研] 售SCI一区T0P文章,我:8.O.5.5.1.O.5.4,科目齐全,可+急 +3 k37jurhrau 2026-05-16 3/150 2026-05-17 01:25 by ue3ir18jc3
[硕博家园] 售SCI一区T0P文章,我:8.O.5.5.1.O.5.4,科目齐全,可+急 +3 ky2p12rrjj 2026-05-15 3/150 2026-05-17 00:45 by ue3ir18jc3
[高分子] 本人最近太闲了,谁有问题可以提,每天会统一回复 +9 一切都是空工 2026-05-12 20/1000 2026-05-16 19:52 by Equinoxhua
[有机交流] 求助2,4-二氯-5-嘧啶甲醛的合成方法 20+3 光吃不拉 2026-05-14 6/300 2026-05-16 19:46 by Equinoxhua
[有机交流] 如何实现卤原子转化 +3 BT20230424 2026-05-15 5/250 2026-05-16 16:20 by czyzsu
[考研] 售SCI一区T0P文章,我:8.O.5.5.1.O.5.4,科目齐全,可+急 +4 l7k6xnh0yc 2026-05-14 6/300 2026-05-16 11:29 by h3oerqvkv9
[硕博家园] 申请博士 +3 呃?呃 2026-05-15 3/150 2026-05-16 11:01 by a4742549
信息提示
请填处理意见