| 查看: 4150 | 回复: 16 | |||
[交流]
吸波材料计算中,四分之一案波长模型的公式到底是哪个
|
|||
|
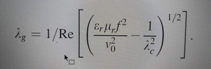
如题,吸波材料计算中,四分之一波长模型的公式到底是哪个?大家是用的第一张图的公式吗?最初来源是哪里?投稿中评审专家认为图一中公式是错误的,应该是图二和图三中的公式,可是查阅大量文献发现,基本都是用的图一中的公式。求大神解惑!!! 发自小木虫Android客户端 |
» 本帖已获得的红花(最新10朵)
» 猜你喜欢
291分调剂
已经有9人回复
调剂求收留
已经有34人回复
291 求调剂
已经有38人回复
22408 312求调剂
已经有17人回复
一志愿华中农业071010,320求调剂
已经有6人回复
290调剂生物0860
已经有41人回复
291求调剂
已经有3人回复
211本科材料化工求调剂
已经有23人回复
山东省基金2026
已经有9人回复
药学求调剂
已经有13人回复
» 本主题相关商家推荐: (我也要在这里推广)
» 抢金币啦!回帖就可以得到:
江西科技师范大学高分子化学与物理招生
+5/765
陕科大环境学院招收0857和0830调剂考生【可跨门类,最后2两小时】
+1/200
济南大学前沿交叉科学研究院2026年化学/化工专业硕士研究生调剂招生
+1/90
教程+代算 GROMACS模拟蛋白质-小分子、药物自组装、高分子弛豫、分子转运等
+1/90
长江大学化工学院环境学硕、专硕最后一批调剂(理学、工学均可,线上面试)
+1/87
安心播种,静待花开
+1/68
济南大学 环境科学 环境工程 硕士招生 调剂 信息
+1/40
中医药广东省实验生物成像团队调剂信息
+1/38
中新绿色科技研究院(山东济南)招收机械设计方向实习生
+1/37
东北大学李亦庄教授招收2026年博士生和科研助理
+1/18
山东大学集成电路学院招博士了
+1/14
辽宁工业大学土木工程(081400)专业调剂有名额
+1/10
招材料相关专业调剂生
+1/10
河南师大全国重点实验室—0780药学、08600生物与医药仍有调剂指标!
+1/9
武汉纺织大学材料学院接受调剂(还有部分士兵计划名额)
+1/8
大湾区大学李红庚课题组招聘研究助理
+1/7
Postdoc position in continuum mechanics of brain tissue at KTH in Stockholm
+1/4
2026年北京服装学院- 材料学院还有调剂名额,可招收化学材料化工相关专业考研调剂
+1/4
武汉工程大学化学与环境工程学院招收调剂学生
+1/1
沈阳农业大学-北京协和医学院药用植物研究所联合培养硕士招生(调剂招生)
+1/1
6楼2017-08-22 07:12:57
xsw1EZUOo332
禁虫 (正式写手)
★
gechaoqun(金币+5): 谢谢参与
gechaoqun(金币+5): 谢谢参与
|
本帖内容被屏蔽 |
4楼2017-08-21 23:20:13
5楼2017-08-21 23:49:32
7楼2017-08-22 07:18:54
10楼2017-08-22 08:37:08
13楼2017-08-28 22:06:40
★
小木虫: 金币+0.5, 给个红包,谢谢回帖
小木虫: 金币+0.5, 给个红包,谢谢回帖
|
本帖内容被屏蔽 |
14楼2021-05-11 16:41:09
15楼2021-06-22 01:02:31
16楼2022-02-16 15:37:24
★
小木虫: 金币+0.5, 给个红包,谢谢回帖
送红花一朵
小木虫: 金币+0.5, 给个红包,谢谢回帖
送红花一朵 | 您好,请问您的问题解决了吗,我也是审稿人提出用您第二个图片中的公式,但我找不到出处,您有该公式的文献吗,或者您发表的文章供拜读,十分感谢。1293401508@qq.com |
17楼2022-04-05 10:58:13
简单回复
2017-08-21 22:56
回复
gechaoqun(金币+5): 谢谢参与
看不尽的风景3楼
2017-08-21 23:07
回复
gechaoqun(金币+5): 谢谢参与
。 发自小木虫Android客户端
youngen8楼
2017-08-22 07:20
回复
gechaoqun(金币+5): 谢谢参与
KDME9楼
2017-08-22 07:44
回复
l41911002811楼
2017-08-22 09:55
回复
gechaoqun(金币+5): 谢谢参与
nono200912楼
2017-08-22 22:39
回复
gechaoqun(金币+5): 谢谢参与














回复此楼