| 查看: 281 | 回复: 0 | ||
华丽的转身啊新虫 (正式写手)
|
[求助]
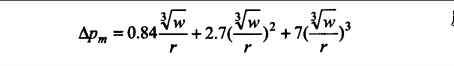
请问怎么使用matlab求解隐函数,其中w为未知量,r和pm可求
|
|
如题,如图 发自小木虫Android客户端 |
» 猜你喜欢
0702一志愿吉大B区求调剂 本科期间发表一篇Sci
已经有2人回复
070200求调剂,一志愿某211,288分
已经有18人回复
物理学I论文润色/翻译怎么收费?
已经有291人回复
法国博士后职位
已经有0人回复
重庆交大26年硕士生招生拟调剂通知已出!欢迎加入机器视觉与3D光学成像课题组。
已经有0人回复
**
已经有1人回复
0702一志愿吉大B区求调剂 本科期间发表一篇Sci
已经有0人回复
基底STO,薄膜SRO,XRD里面的振荡,是laue震荡还是kiessig振荡? 怎么判断?
已经有0人回复














回复此楼