| 查看: 21542 | 回复: 6 | |||
[求助]
求助,分子分母都是复数分数的分数,应该怎么计算?已有1人参与
|
|
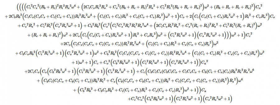
最近在算一个公式,大体上如下长等式,j等同于i,但是我不会算复数的除法了,举个简单的例子,如短等式,这个值应该怎么算,应该先将分子分母中的分母实数化还是也适用于“”一个数除以一个分数等于乘以这个分数的倒数“”这个原则,求教,谢谢!如果能帮忙算一下最好了,谢谢! 图片1.png 图片2.png |
» 猜你喜欢
孩子确诊有中度注意力缺陷
已经有12人回复
2025冷门绝学什么时候出结果
已经有3人回复
天津工业大学郑柳春团队欢迎化学化工、高分子化学或有机合成方向的博士生和硕士生加入
已经有4人回复
康复大学泰山学者周祺惠团队招收博士研究生
已经有6人回复
AI论文写作工具:是科研加速器还是学术作弊器?
已经有3人回复
2026博士申请-功能高分子,水凝胶方向
已经有6人回复
论文投稿,期刊推荐
已经有4人回复
硕士和导师闹得不愉快
已经有13人回复
请问2026国家基金面上项目会启动申2停1吗
已经有5人回复
同一篇文章,用不同账号投稿对编辑决定是否送审有没有影响?
已经有3人回复
» 本主题相关商家推荐: (我也要在这里推广)

Mr__Right
专家顾问 (著名写手)
-

专家经验: +31 - 数学EPI: 1
- 应助: 317 (大学生)
- 金币: 14456.3
- 散金: 500
- 红花: 54
- 帖子: 2716
- 在线: 950.6小时
- 虫号: 1972612
- 注册: 2012-09-04
- 性别: GG
- 专业: 应用数学方法
- 管辖: 程序语言

2楼2017-08-16 18:12:55

3楼2017-08-16 20:57:48
Mr__Right
专家顾问 (著名写手)
-

专家经验: +31 - 数学EPI: 1
- 应助: 317 (大学生)
- 金币: 14456.3
- 散金: 500
- 红花: 54
- 帖子: 2716
- 在线: 950.6小时
- 虫号: 1972612
- 注册: 2012-09-04
- 性别: GG
- 专业: 应用数学方法
- 管辖: 程序语言

4楼2017-08-17 01:45:35

5楼2017-08-17 07:17:24
Mr__Right
专家顾问 (著名写手)
-

专家经验: +31 - 数学EPI: 1
- 应助: 317 (大学生)
- 金币: 14456.3
- 散金: 500
- 红花: 54
- 帖子: 2716
- 在线: 950.6小时
- 虫号: 1972612
- 注册: 2012-09-04
- 性别: GG
- 专业: 应用数学方法
- 管辖: 程序语言

6楼2017-08-17 07:36:53
Mr__Right
专家顾问 (著名写手)
-

专家经验: +31 - 数学EPI: 1
- 应助: 317 (大学生)
- 金币: 14456.3
- 散金: 500
- 红花: 54
- 帖子: 2716
- 在线: 950.6小时
- 虫号: 1972612
- 注册: 2012-09-04
- 性别: GG
- 专业: 应用数学方法
- 管辖: 程序语言

7楼2017-08-17 08:16:48













回复此楼
smiles292