| 查看: 440 | 回复: 1 | ||
[求助]
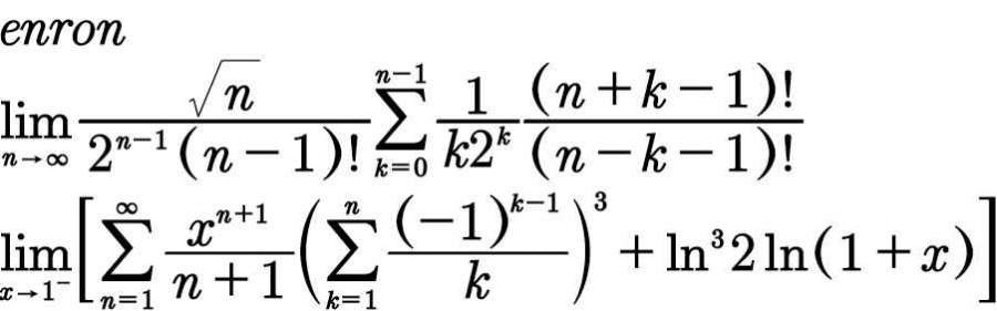
数列和函数的极限问题
|
|
这两个极限怎么做(丘赛党) 发自小木虫Android客户端 |
» 猜你喜欢
AI 太可怕了,写基金时,提出想法,直接生成的文字比自己想得深远,还有科学性
已经有9人回复
有时候真觉得大城市人没有县城人甚至个体户幸福
已经有12人回复
依托企业入选了国家启明计划青年人才。有无高校可以引进的。
已经有11人回复
依托企业入选了国家启明计划青年人才。有无高校可以引进的。
已经有10人回复
同年申请2项不同项目,第1个项目里不写第2个项目的信息,可以吗
已经有9人回复
表哥与省会女结婚,父母去帮带孩子被省会女气回家生重病了
已经有7人回复
天津大学招2026.09的博士生,欢迎大家推荐交流(博导是本人)
已经有9人回复
有院领导为了换新车,用横向课题经费买了俩车
已经有10人回复
ylsxz2012
铜虫 (初入文坛)
- 应助: 2 (幼儿园)
- 金币: 2172.9
- 帖子: 46
- 在线: 172.5小时
- 虫号: 2024825
- 注册: 2012-09-24
- 性别: GG
- 专业: 计算数学与科学工程计算
2楼2017-08-18 01:35:05













回复此楼