| ²é¿´: 343 | »Ø¸´: 0 | ||
wfl867058767гæ (СÓÐÃûÆø)
|
[ÇóÖú]
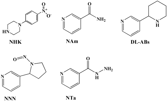
ÑÇÏõËá°·Óë»·ºý¾«µÄ½áºÏ
|
|
ÕâÎå¸ö»¯ºÏÎïÓë»·ºý¾«½áºÏ£¬Æä½áºÏÇ¿¶ÈµÄÇ÷ÊÆÓ¦¸ÃÊÇÔõôÑùµÄÀ²£¿Òâ˼ÊǽáºÏÇ¿¶ÈµÄ˳ÐòÓ¦¸ÃÊÇÔõÑùµÄ£¬Ð»Ð»°ïÖú.... 426f2c5a491934b71e78edb77b650ac.png |
» ²ÂÄãϲ»¶
Çóµ÷¼Á
ÒѾÓÐ11È˻ظ´
»ªÄÏÀí¹¤0703»¯Ñ§£¬×Ü·Ö336Çóµ÷¼Á
ÒѾÓÐ8È˻ظ´
301Çóµ÷¼Á
ÒѾÓÐ7È˻ظ´
336²ÄÁÏÓ뻯¹¤085600Çóµ÷¼Á
ÒѾÓÐ12È˻ظ´
Ò»Ö¾Ô¸Î人Àí¹¤´óѧ080200»úе¹¤³Ì308·Ö£¬Çóµ÷¼Á
ÒѾÓÐ4È˻ظ´
285Çóµ÷¼Á
ÒѾÓÐ6È˻ظ´
Çóµ÷¼Á
ÒѾÓÐ10È˻ظ´
ÉúÎïѧÇóµ÷¼Á
ÒѾÓÐ4È˻ظ´
0854Çóµ÷¼Á
ÒѾÓÐ3È˻ظ´
319·Ö085702°²È«¹¤³ÌÇóµ÷¼Á
ÒѾÓÐ4È˻ظ´














»Ø¸´´ËÂ¥