| 查看: 416 | 回复: 3 | ||
[求助]
数学运算 已有1人参与
|
|
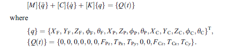
已知,矩阵,M,C,K,Qt的值,请问怎么求矩阵q? M,C,K,分别为14*14的矩阵,QT是1*14的矩阵,具体的值多少,不重要,就不附上了。 公式附在图片里,希望有大佬能帮忙看看,用MATLAB怎么表示,最好附上代码,或者是否可以用MATLAB算出? 小弟感激不尽。 image.png |
» 猜你喜欢
一志愿211,335分,0856,求调剂院校和导师
已经有16人回复
081200-11408-276学硕求调剂
已经有4人回复
材料与化工306分找调剂
已经有17人回复
一志愿0817化学工程与技术,求调剂
已经有7人回复
一志愿深大085601材料工程专业(专硕)300分可以调剂去哪
已经有7人回复
309求调剂
已经有11人回复
求调剂
已经有12人回复
材料科学与工程考研
已经有6人回复
一志愿陕西师范大学生物学317分
已经有4人回复
环境285分,过六级,求调剂
已经有7人回复
chendequan
铁虫 (小有名气)
- 应助: 152 (高中生)
- 金币: 918.6
- 红花: 17
- 帖子: 262
- 在线: 208.6小时
- 虫号: 994474
- 注册: 2010-04-11
- 专业: 结构工程

2楼2017-08-12 09:18:14
3楼2017-08-14 10:41:20
4楼2017-08-14 11:00:19














回复此楼