| ²é¿´: 1619 | »Ø¸´: 3 | ||||
xzm0521гæ (ÕýʽдÊÖ)
|
[ÇóÖú]
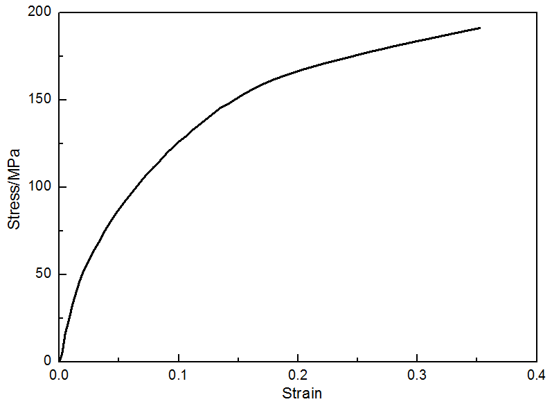
¼±ÎÊ£¡£¡£¡ÈçºÎ¸ù¾ÝʵÑé»ñµÃµÄÀÉìÓ¦Á¦Ó¦±ä¹ØÏµ£¬È·¶¨²ÄÁÏÊôÓÚÄÄÀ൯ËÜÐÔÄ£ÐÍ£¿ ÒÑÓÐ1È˲ÎÓë
|
|
²ÄÁϵ¯ËÜÐÔÄ£ÐÍÓкöàÖÖ£¬±ÈÈçÃÝÓ²»¯£¬Ë涯Ӳ»¯£¬µÈÏòÓ²»¯µÈµÈ£¬ÈçºÎ¸ù¾ÝÀÉìµÃµ½µÄÓ¦Á¦Ó¦±äÇúÏߣ¬È·¶¨ÆäÊôÓÚÄÄÒ»ÖÖ£¿·Ç³£¸Ðл£¡ 1.png |
» ²ÂÄãϲ»¶
ÖØÇì¿Æ¼¼´óѧ²Ä²ÄÁÏѧԺµç×ÓÐÅÏ¢¸´ºÏ²ÄÁÏ¿ÎÌâ×éÕÐÊÕ²ÄÁÏÀà¡¢»¯Ñ§Àà¡¢²ÄÁÏÓ뻯¹¤Àà˶ʿ
ÒѾÓÐ0È˻ظ´
ÖØÇì¿Æ¼¼´óѧ-µç×ÓÐÅÏ¢¸´ºÏ²ÄÁÏ¿ÎÌâ×éÕÐÊÕ»¯Ñ§Àà˶ʿ
ÒѾÓÐ0È˻ظ´
Ò±½ðÓë¿óÒµÂÛÎÄÈóÉ«/·ÒëÔõôÊÕ·Ñ?
ÒѾÓÐ211È˻ظ´
½Ó¹¤Ñ§¿çרҵµ÷¼ÁѧÉú£¬·Ç³ÏÎðÈÅ£¬Ð»Ð»
ÒѾÓÐ0È˻ظ´
ѧ˶ѧ˶£¬³ÏÕй¤Ñ§Ñ§Ë¶£¬½Ó¿çרҵµ÷¼ÁѧÉú£¬·Ç³ÏÎðÈÅ£¬Ð»Ð»
ÒѾÓÐ1È˻ظ´
³ÏÕй¤Ñ§Ñ§Ë¶£¬½ÓÊÜ¿çרҵµ÷¼Á£¬·Ç³ÏÎðÈÅ£¬Ð»Ð»
ÒѾÓÐ0È˻ظ´
ÇóÖúÒ»¸öcifÎļþ£¬Ð»Ð»¡£
ÒѾÓÐ1È˻ظ´
ѧ˶£¬½Ó¹¤Ñ§¿çרҵµ÷¼ÁѧÉú£¬·Ç³ÏÎðÈÅ£¬Ð»Ð»
ÒѾÓÐ0È˻ظ´
ÖÐÔ¹¤Ñ§Ôº2026¿¼Ñе÷¼ÁÐÅÏ¢
ÒѾÓÐ0È˻ظ´
» ±¾Ö÷ÌâÏà¹ØÉ̼ÒÍÆ¼ö: (ÎÒÒ²ÒªÔÚÕâÀïÍÆ¹ã)
zbhwel
ר¼Ò¹ËÎÊ (ÖªÃû×÷¼Ò)
-

ר¼Ò¾Ñé: +782 - MEPI: 3
- Ó¦Öú: 1730 (½²Ê¦)
- ¹ó±ö: 0.259
- ½ð±Ò: 23020.1
- É¢½ð: 1738
- ºì»¨: 272
- ɳ·¢: 22
- Ìû×Ó: 5201
- ÔÚÏß: 1050.9Сʱ
- ³æºÅ: 2249580
- ×¢²á: 2013-01-19
- ÐÔ±ð: GG
- רҵ: ½ðÊô½á¹¹²ÄÁÏ
- ¹ÜϽ: ²ÄÁϹ¤³Ì
¡¾´ð°¸¡¿Ó¦Öú»ØÌû
¸Ðл²ÎÓ룬ӦÖúÖ¸Êý +1
| ¿ÉÒԲο¼¡¶½¨ÖþÓÃÖý¸ÖÀÉìÓ¦Á¦Ó¦±ä¹ØÏµÄ£Äâ·½·¨¡·ÕâÆªÎÄÕ¡£ |

2Â¥2017-08-09 09:54:53
²ËÄñÒ²°®Çò
Ìú³æ (ÖøÃûдÊÖ)
- Ó¦Öú: 0 (Ó×¶ùÔ°)
- ½ð±Ò: 1083
- É¢½ð: 1472
- ºì»¨: 20
- ɳ·¢: 9
- Ìû×Ó: 2869
- ÔÚÏß: 326.8Сʱ
- ³æºÅ: 1686059
- ×¢²á: 2012-03-12
- ÐÔ±ð: GG
- רҵ: ¹ÌÌåÁ¦Ñ§

3Â¥2018-03-20 23:14:20
¹úÕ½
ľ³æ (ÖøÃûдÊÖ)
- Ó¦Öú: 4 (Ó×¶ùÔ°)
- ½ð±Ò: 4611
- É¢½ð: 779
- ºì»¨: 13
- Ìû×Ó: 1315
- ÔÚÏß: 229.8Сʱ
- ³æºÅ: 4243204
- ×¢²á: 2015-11-24
- ÐÔ±ð: GG
- רҵ: ÊýѧÎïÀí
4Â¥2018-07-02 19:47:26













»Ø¸´´ËÂ¥