| 查看: 325 | 回复: 0 | ||
[求助]
求电化学的大佬们指点下小白
|
|
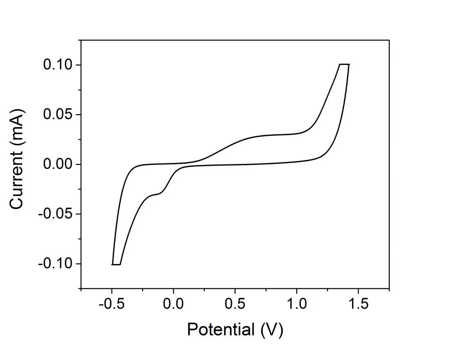
请问下图中的循环伏安图,如何分析,能说明发生了一个可逆的氧化还原反应,还有一个不可逆氧化还原反应吗? 还有光电流,我只有这一个物质,没有对比,那又能说明什么问题, 我是电化学新手,小白一个,请指教!!! 光电流.jpg 循环伏安.jpg |
» 猜你喜欢
带资进组求博导收留
已经有10人回复
最近几年招的学生写论文不引自己组发的文章
已经有11人回复
写了一篇“相变储能技术在冷库中应用”的论文,论文内容以实验为主,投什么期刊合适?
已经有4人回复
需要合成515-64-0,50g,能接单的留言
已经有3人回复
中科院杭州医学所招收博士生一名(生物分析化学、药物递送)
已经有3人回复
临港实验室与上科大联培博士招生1名
已经有8人回复
想换工作。大多数高校都是 评职称时 认可5年内在原单位取得的成果吗?
已经有4人回复













回复此楼