24小时热门版块排行榜    

查看: 748  |  回复: 0

songchanghua

银虫 (正式写手)

[求助] 关于循环伏安测定催化剂oxidation potential的问题请教。

我的专业是工业催化,对电化学不大懂,向木虫上的各位大神请教,在这里先谢谢了。
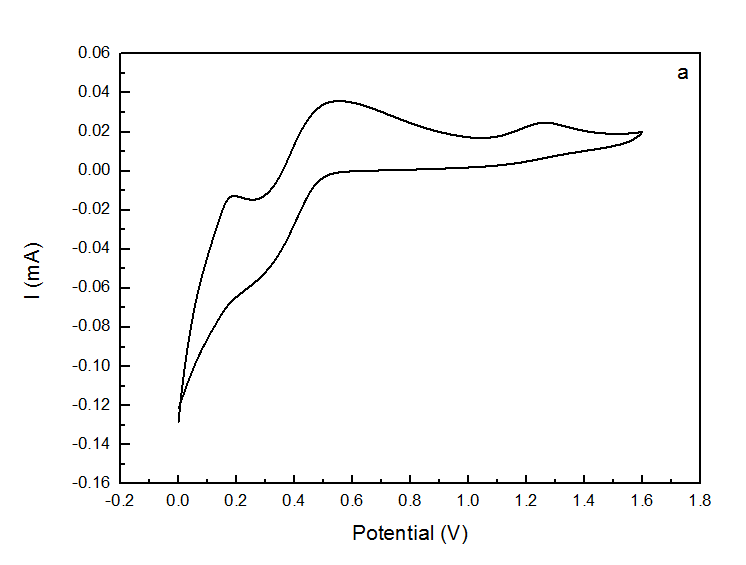
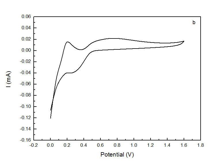
    问题描述如下:我合成了系列催化剂,用于催化氧化反应(反应是通过油浴加热的热催化反应)。现利用循环伏安法来表征催化剂的oxidation potential,如下图:Fig. a 和 b。
    问题1:我应该从CV曲线中读取哪些信息,用来说明催化剂的oxidation potential?
                比如:我参考类似文献,半波电位越高,催化剂的oxidation potential越强,那么我怎么从CV曲线中得到E1/2?
                          峰电位越低,催化性能越好?
                上述两点是否正确?此外,CV中是否还有别的什么值可用于表征oxidation potential?
    问题2:如Fig. a 和 b,(不知术语怎么描述),我发现Fig. b的图明显比Fig. a要扁,这个和催化剂本身的oxidation potential有没有关系?

求助!谢谢!

关于循环伏安测定催化剂oxidation potential的问题请教。
a.png


关于循环伏安测定催化剂oxidation potential的问题请教。-1
b.png
回复此楼

» 猜你喜欢

已阅   关注TA 给TA发消息 送TA红花 TA的回帖
相关版块跳转 我要订阅楼主 songchanghua 的主题更新
最具人气热帖推荐 [查看全部] 作者 回/看 最后发表
[考研] 294求调剂材料与化工专硕 +14 陌の森林 2026-03-18 14/700 2026-03-19 22:38 by 学员8dgXkO
[考研] 一志愿南京理工大学085701资源与环境302分求调剂 +3 葵梓卫队 2026-03-18 5/250 2026-03-19 19:35 by 给你你注意休息
[考研] 321求调剂 +8 何润采123 2026-03-18 10/500 2026-03-19 16:46 by 何润采123
[考研] 一志愿天津大学化学工艺专业(081702)315分求调剂 +11 yangfz 2026-03-17 11/550 2026-03-19 15:06 by houyaoxu
[考研] 材料与化工求调剂 +7 为学666 2026-03-16 7/350 2026-03-19 14:48 by 尽舜尧1
[考研] 一志愿985,本科211,0817化学工程与技术319求调剂 +10 Liwangman 2026-03-15 10/500 2026-03-19 10:25 by 无际的草原
[考研] 354求调剂 +4 Tyoumou 2026-03-18 7/350 2026-03-18 21:45 by Tyoumou
[考研] 材料专业求调剂 +5 hanamiko 2026-03-18 5/250 2026-03-18 20:19 by 星空星月
[考研] 303求调剂 +4 睿08 2026-03-17 6/300 2026-03-18 11:01 by Iveryant
[考研] 环境工程调剂 +8 大可digkids 2026-03-16 8/400 2026-03-18 09:36 by zhukairuo
[考研] 265求调剂 +3 梁梁校校 2026-03-17 3/150 2026-03-18 09:12 by zhukairuo
[考研] 293求调剂 +11 zjl的号 2026-03-16 16/800 2026-03-18 08:10 by zhukairuo
[考研] 277调剂 +5 自由煎饼果子 2026-03-16 6/300 2026-03-17 19:26 by 李leezz
[考研] 有没有道铁/土木的想调剂南林,给自己招师弟中~ +3 TqlXswl 2026-03-16 7/350 2026-03-17 15:23 by TqlXswl
[基金申请] 今年的国基金是打分制吗? 50+3 zhanghaozhu 2026-03-14 3/150 2026-03-16 17:07 by 北京莱茵润色
[考研] 070303 总分349求调剂 +3 LJY9966 2026-03-15 5/250 2026-03-16 14:24 by xwxstudy
[考研] 0703化学调剂 290分有科研经历,论文在投 +7 腻腻gk 2026-03-14 7/350 2026-03-16 10:12 by houyaoxu
[考研] 080500,材料学硕302分求调剂学校 +4 初识可乐 2026-03-14 5/250 2026-03-14 21:08 by peike
[考研] 297求调剂 +4 学海漂泊 2026-03-13 4/200 2026-03-14 11:51 by 热情沙漠
[考研] 266求调剂 +4 学员97LZgn 2026-03-13 4/200 2026-03-14 08:37 by zhukairuo
信息提示
请填处理意见