| 查看: 1245 | 回复: 4 | |
[求助]
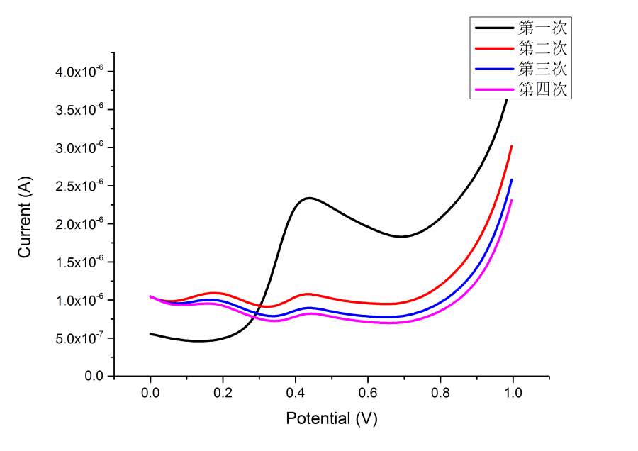
大家来分析下这个DPV图 已有1人参与
|
|
|
|
|
|
2楼2017-07-19 15:38:36
|
|
|
3楼2017-07-20 13:47:15
|
|
TJaida木虫 (正式写手)
|
|
![]() |
|
|
4楼2017-07-20 13:54:07
|
|
|
5楼2017-07-21 15:28:58
|
|













回复此楼
na10
5