版块导航
正在加载中...
客户端APP下载
论文辅导
申博辅导
登录
注册
帖子
帖子
用户
本版
应《网络安全法》要求,自2017年10月1日起,未进行实名认证将不得使用互联网跟帖服务。为保障您的帐号能够正常使用,请尽快对帐号进行手机号验证,感谢您的理解与支持!
24小时热门版块排行榜
>
论坛更新日志
(3960)
>
文献求助
(408)
>
虫友互识
(345)
>
导师招生
(323)
>
博后之家
(166)
>
考博
(155)
>
硕博家园
(154)
>
休闲灌水
(141)
>
论文投稿
(118)
>
基金申请
(90)
>
招聘信息布告栏
(55)
>
考研
(54)
>
教师之家
(52)
>
公派出国
(43)
>
绿色求助(高悬赏)
(38)
>
找工作
(37)
小木虫论坛-学术科研互动平台
»
专业学科区
»
数理科学综合
»
求教多元二次方程组怎么解
5
2/1
返回列表
查看: 1333 | 回复: 11
只看楼主
@他人
存档
新回复提醒
(忽略)
收藏
在APP中查看
当前只显示满足指定条件的回帖,点击这里查看本话题的所有回帖
建院修暖气
新虫
(初入文坛)
应助: 0
(幼儿园)
金币: 289
散金: 10
帖子: 19
在线: 8.7小时
虫号: 4146690
注册: 2015-10-15
专业: 建筑环境与结构工程
[
求助
]
求教多元二次方程组怎么解
已有2人参与
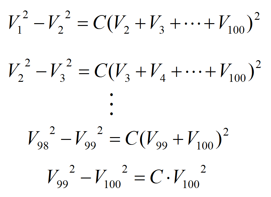
如图,是一个多元二次方程组,哪位大哥知道怎么解,告知一下,感激不尽。
1
回复此楼
» 猜你喜欢
到新单位后,换了新的研究方向,没有团队,持续积累2区以上论文,能申请到面上吗
已经有7人回复
申请2026年博士
已经有5人回复
天津工业大学郑柳春团队欢迎化学化工、高分子化学或有机合成方向的博士生和硕士生加入
已经有5人回复
寻求一种能扛住强氧化性腐蚀性的容器密封件
已经有6人回复
2025冷门绝学什么时候出结果
已经有7人回复
请问有评职称,把科研教学业绩算分排序的高校吗
已经有6人回复
Bioresource Technology期刊,第一次返修的时候被退回好几次了
已经有7人回复
请问哪里可以有青B申请的本子可以借鉴一下。
已经有4人回复
请问下大家为什么这个铃木偶联几乎不反应呢
已经有5人回复
康复大学泰山学者周祺惠团队招收博士研究生
已经有6人回复
1楼
2017-07-12 16:17:25
已阅
回复此楼
关注TA
给TA发消息
送TA红花
TA的回帖
lipenggg
专家顾问
(正式写手)
专家经验: +65
应助: 122
(高中生)
金币: 4841.3
红花: 43
帖子: 722
在线: 435.7小时
虫号: 3929201
注册: 2015-06-17
性别: GG
专业: 流体力学
管辖:
计算模拟
【答案】应助回帖
★ ★ ★ ★ ★ ★ ★ ★ ★ ★ ★ ★ ★ ★ ★ ★ ★ ★ ★ ★
建院修暖气: 金币+20,
★★★★★
最佳答案
2017-08-04 17:13:13
引用回帖:
11楼
:
Originally posted by
lipenggg
at 2017-07-20 10:35:19
Constant n=99; Parameter v(1:n); Constant v100=0.5; Constant c=0.5; Function For(i=1:n)(v^2-v^2=c*(sum(j=i+1:n+1)(v))^2);
CODE:
Constant n=99; Parameter v(1:n); Constant v100=0.5; Constant c=0.5; Function For(i=1:n)(v[i]^2-v[i+1]^2-c*(sum(j=i+1:n+1)(v[j]))^2=0);
赞
一下
回复此楼
高级回复
一团和气
12楼
2017-07-25 11:28:02
已阅
回复此楼
关注TA
给TA发消息
送TA红花
TA的回帖
查看全部 12 个回答
lipenggg
专家顾问
(正式写手)
专家经验: +65
应助: 122
(高中生)
金币: 4841.3
红花: 43
帖子: 722
在线: 435.7小时
虫号: 3929201
注册: 2015-06-17
性别: GG
专业: 流体力学
管辖:
计算模拟
【答案】应助回帖
感谢参与,应助指数 +1
使用1stopt应该比较容易
[ 发自手机版 http://muchong.com/3g ]
赞
一下
回复此楼
一团和气
3楼
2017-07-13 17:20:47
已阅
回复此楼
关注TA
给TA发消息
送TA红花
TA的回帖
peterflyer
木虫之王
(文学泰斗)
peterflyer
应助: 20282
(院士)
金币: 145683
红花: 1374
帖子: 93066
在线: 7693.7小时
虫号: 1482829
注册: 2011-11-08
性别: GG
专业: 功能陶瓷
【答案】应助回帖
感谢参与,应助指数 +1
这只有99个方程却要解100个未知数,看来会有无数组解啊。
赞
一下
回复此楼
4楼
2017-07-14 21:57:24
已阅
回复此楼
关注TA
给TA发消息
送TA红花
TA的回帖
zbjinan
金虫
(正式写手)
应助: 0
(幼儿园)
金币: 6.9
散金: 583
帖子: 309
在线: 117.8小时
虫号: 2320396
注册: 2013-03-05
性别: GG
专业: 有机高分子功能材料
答案是0
发自小木虫Android客户端
回复此楼
5楼
2017-07-15 14:25:39
已阅
回复此楼
关注TA
给TA发消息
送TA红花
TA的回帖
查看全部 12 个回答
如果回帖内容含有宣传信息,请如实选中。否则帐号将被全论坛禁言
普通表情
龙
兔
虎
猫
百度网盘
|
360云盘
|
千易网盘
|
华为网盘
在新窗口页面中打开自己喜欢的网盘网站,将文件上传后,然后将下载链接复制到帖子内容中就可以了。
信息提示
关闭
请填处理意见
关闭
确定