| 查看: 848 | 回复: 3 | |||
[求助]
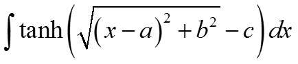
求不定积分问题,重金酬谢! 已有1人参与
|
|||
|
|
|||
Mr__Right专家顾问 (著名写手)
|
|||
![]() |
|||
|
2楼2017-07-11 17:59:08
|
|
||
Mr__Right专家顾问 (著名写手)
|
|||
![]() |
|||
|
3楼2017-07-11 18:02:21
|
|
||
|
4楼2017-07-12 05:12:21
|
|













回复此楼
