| ²é¿´: 1586 | »Ø¸´: 4 | ||
¸ÖéG¶ùTgгæ (³õÈëÎÄ̳)
|
[ÇóÖú]
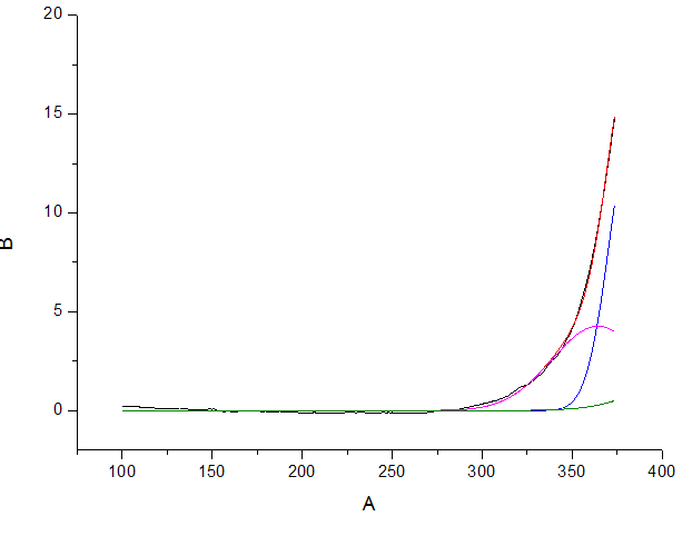
ÈçºÎʹÓÃPeakfit¼ÆËãµ°°×Öʸ÷¶þ¼¶½á¹¹µÄ·åÃæ»ý
|
|
½øÐÐÇúÏßÄâºÏÖ®ºóÈçºÎ¸ù¾Ý¸÷¸ö·å¼ÆËãµ°°×Öʸ÷¶þ¼¶½á¹¹µÄÏà¶Ôº¬Á¿Ñ½ ·¢×ÔСľ³æAndroid¿Í»§¶Ë |
» ²ÂÄãϲ»¶
ʳƷ¿ÆÑ§µ÷¼Á½»Á÷
ÒѾÓÐ0È˻ظ´
ʳƷѧ˶362Çóµ÷¼Á
ÒѾÓÐ3È˻ظ´
ʳƷ¿ÆÑ§ÂÛÎÄÈóÉ«/·ÒëÔõôÊÕ·Ñ?
ÒѾÓÐ73È˻ظ´
Ò»Ö¾Ô¸ÉϺ£º£Ñó´óѧ083200ʳƷѧ˶£¬Çóµ÷¼Á£¬½ÓÊÜÆäËûרҵ
ÒѾÓÐ11È˻ظ´
ʳƷµ÷¼Á08¿¼Êýѧ¿Éµ÷
ÒѾÓÐ0È˻ظ´
ʳƷ¹¤³Ìµ÷¼Á
ÒѾÓÐ2È˻ظ´
Ò»Ö¾Ô¸ÉϺ£º£Ñó´óѧ083200ʳƷѧ˶£¬Çóµ÷¼Á£¬½ÓÊÜÆäËûרҵ083200
ÒѾÓÐ5È˻ظ´
¹ã¶«º£Ñó´óѧʳƷ¿ÆÑ§Ó빤³Ì¡¢ÉúÎïÓëÒ½Ò©ÕÐÊÕµ÷¼Á¿¼Éú
ÒѾÓÐ0È˻ظ´
»¶Óµ÷¼Á³üÖÝѧԺÉúÎïÓëҽҩר˶
ÒѾÓÐ0È˻ظ´
muyi_yang
½ð³æ (СÓÐÃûÆø)
- Ó¦Öú: 0 (Ó×¶ùÔ°)
- ½ð±Ò: 263.9
- É¢½ð: 202
- ºì»¨: 1
- Ìû×Ó: 142
- ÔÚÏß: 150.4Сʱ
- ³æºÅ: 3621112
- ×¢²á: 2014-12-31
- ÐÔ±ð: MM
- רҵ: ´ß»¯»¯Ñ§

2Â¥2017-07-08 21:59:48
muyi_yang
½ð³æ (СÓÐÃûÆø)
- Ó¦Öú: 0 (Ó×¶ùÔ°)
- ½ð±Ò: 263.9
- É¢½ð: 202
- ºì»¨: 1
- Ìû×Ó: 142
- ÔÚÏß: 150.4Сʱ
- ³æºÅ: 3621112
- ×¢²á: 2014-12-31
- ÐÔ±ð: MM
- רҵ: ´ß»¯»¯Ñ§

3Â¥2017-07-08 22:08:01
ÜÓÏÄij¾
гæ (³õÈëÎÄ̳)
- Ó¦Öú: 0 (Ó×¶ùÔ°)
- ½ð±Ò: 88.4
- Ìû×Ó: 9
- ÔÚÏß: 10.6Сʱ
- ³æºÅ: 5932787
- ×¢²á: 2017-03-11
- ÐÔ±ð: MM
- רҵ: Ò©¼Áѧ
|
Â¥Ö÷£¬Çë½ÌÒ»ÏÂÄúÊÇÔõôµÃµ½¶þ¼¶½á¹¹º¬Á¿µÄÄØ£¬²»ÖªµÀÄâºÏºóµÃ³öµÄÊý¾Ý¸ÃÔõôËã¡¡ ·¢×ÔСľ³æIOS¿Í»§¶Ë |
4Â¥2018-01-13 14:21:05
wangying95
гæ (³õÈëÎÄ̳)
- Ó¦Öú: 0 (Ó×¶ùÔ°)
- ½ð±Ò: 23.6
- Ìû×Ó: 8
- ÔÚÏß: 5.2Сʱ
- ³æºÅ: 22926198
- ×¢²á: 2020-06-24
- רҵ: ÉúÎï²ÄÁÏ
5Â¥2020-07-13 18:28:42














»Ø¸´´ËÂ¥