| 查看: 2372 | 回复: 2 | |
[求助]
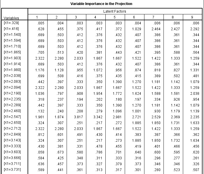
求问SPSS里面PLS输出结果的解释
|
|
|
|
|
witCHO木虫 (小有名气)
|
|
|
2楼2017-07-14 19:29:42
|
|
windy水墨新虫 (正式写手)
|
|
![]() |
|
|
3楼2018-07-30 14:43:27
|
|














回复此楼
