| 查看: 1487 | 回复: 3 | ||
终之太刀—晓铁杆木虫 (著名写手)
数学爱好者
|
[求助]
Matlab最小二乘法估计参数的函数代码程序
|
|
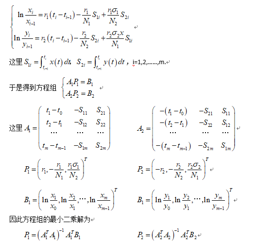
本人Matlab菜鸟一枚,所以在此想求教各位数值分析大神帮我解决下面的一个Matlab代码问题。 第一,二张是题目叙述; 第三张是我编写的代码,可是运行出现错误。我想知道如何修改可以让程序正确运行。 特意献上金币100,多谢各位! 1.PNG 2.PNG 3.PNG |
» 猜你喜欢
求调剂
已经有3人回复
265求调剂
已经有4人回复
085700资源与环境308求调剂
已经有6人回复
一志愿吉林大学材料学硕321求调剂
已经有12人回复
286分人工智能专业请求调剂愿意跨考!
已经有3人回复
329求调剂
已经有5人回复
申请回稿延期一个月,编辑同意了。但系统上的时间没变,给编辑又写邮件了,没回复
已经有4人回复
材料学硕318求调剂
已经有5人回复
一志愿中国海洋大学,生物学,301分,求调剂
已经有6人回复
081700化工学硕调剂
已经有3人回复
» 本主题相关价值贴推荐,对您同样有帮助:

cooooldog
铁杆木虫 (著名写手)
ส็็็
- 数学EPI: 2
- 应助: 237 (大学生)
- 金币: 6101.9
- 散金: 1114
- 红花: 39
- 帖子: 1380
- 在线: 553.8小时
- 虫号: 506699
- 注册: 2008-02-18
- 专业: 模式识别

2楼2017-07-06 09:00:10
终之太刀—晓
铁杆木虫 (著名写手)
数学爱好者
- 数学EPI: 7
- 应助: 282 (大学生)
- 贵宾: 0.018
- 金币: 2934.2
- 散金: 5589
- 红花: 53
- 帖子: 1809
- 在线: 401.6小时
- 虫号: 3469007
- 注册: 2014-10-12
- 性别: MM
- 专业: 偏微分方程

3楼2017-07-06 17:27:06
ljq519781936
金虫 (小有名气)
- 应助: 0 (幼儿园)
- 金币: 726.8
- 帖子: 91
- 在线: 11.9小时
- 虫号: 1891700
- 注册: 2012-07-13
- 性别: GG
- 专业: 机械测试理论与技术

4楼2017-07-08 00:06:21













回复此楼
终之太刀—晓