| 查看: 1345 | 回复: 7 | |
[求助]
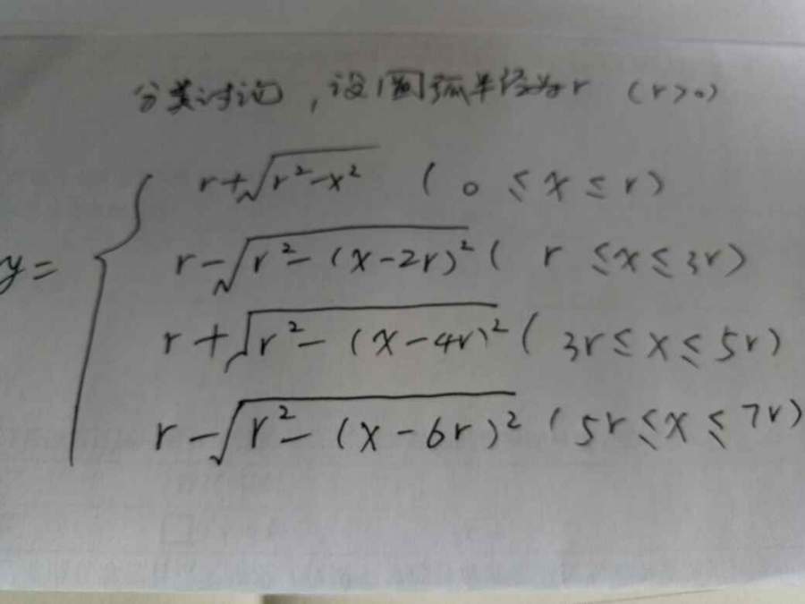
求大神:多个半圆相连求曲线方程
|
|
|
|
|
|
2楼2017-06-28 11:14:43
|
|
|
3楼2017-06-28 11:27:55
|
|
|
4楼2017-06-28 11:51:59
|
|
|
5楼2017-06-28 11:53:37
|
|
|
6楼2017-06-28 11:55:05
|
|
|
7楼2017-06-28 13:26:02
|
|
|
8楼2017-06-28 13:28:49
|
|













回复此楼
秋甜嘉