| 查看: 772 | 回复: 0 | ||
[求助]
如何Boltzmann固体积分模型将写入origin进行数据拟合
|
|
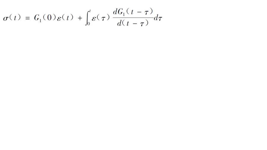
我想利用Boltzmann固体积分模型将材料的应力扫描曲线进行拟合,在操作的是过程中,origin没有Boltzmann固体积分模型公式,怎样将公式写入进行拟合呢,大神们!!!帮忙啊。。。 无标题.png 无标题.jpg |
» 猜你喜欢
有院领导为了换新车,用横向课题经费买了俩车
已经有8人回复
博士延得我,科研能力直往上蹿
已经有8人回复
酰胺脱乙酰基
已经有12人回复
同年申请2项不同项目,第1个项目里不写第2个项目的信息,可以吗
已经有4人回复
有时候真觉得大城市人没有县城人甚至个体户幸福
已经有10人回复
天津大学招2026.09的博士生,欢迎大家推荐交流(博导是本人)
已经有5人回复
CSC & MSCA 博洛尼亚大学能源材料课题组博士/博士后招生|MSCA经费充足、排名优
已经有6人回复
面上项目申报
已经有3人回复
遇见不省心的家人很难过
已经有22人回复













回复此楼