| ²é¿´: 635 | »Ø¸´: 1 | |||
[½»Á÷]
ÇóÖú£¬ÀûÓÃMATLAB½â΢·Ö·½³Ì×é ÒÑÓÐ1È˲ÎÓë
|
|
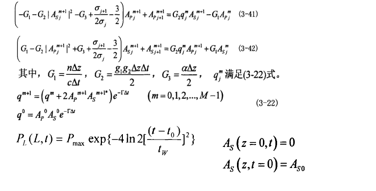
ÇóÖú£¬ÈçºÎÀûÓÃMATLABÈí¼þ¶ÔͼÖеķ½³Ì½øÐУ¬·½³Ì×éÊDZ»ÀëÉ¢»¯ºóµÄ£¬°Ñ¸÷¸öµãµÄʱ¼äºÍ¿Õ¼ä¶ÔÓ¦µÄµãÇó½â³öÀ´£¬ÈçÓаï×飬±ØÓÐÖØÐ» ÇóÖú.png |
» ²ÂÄãϲ»¶
296Çóµ÷¼Á
ÒѾÓÐ5È˻ظ´
0703»¯Ñ§µ÷¼Á
ÒѾÓÐ13È˻ظ´
085600²ÄÁÏÓ뻯¹¤ Çóµ÷¼Á
ÒѾÓÐ15È˻ظ´
085700×ÊÔ´Óë»·¾³308Çóµ÷¼Á
ÒѾÓÐ4È˻ظ´
ÉúÎïѧµ÷¼ÁÕÐÈË£¡£¡£¡
ÒѾÓÐ4È˻ظ´
0817 »¯Ñ§¹¤³Ì 299·ÖÇóµ÷¼Á ÓпÆÑоÀú ÓжþÇøÎÄÕÂ
ÒѾÓÐ17È˻ظ´
Ò»Ö¾Ô¸Î人Àí¹¤²ÄÁϹ¤³Ìר˶µ÷¼Á
ÒѾÓÐ5È˻ظ´
0856µ÷¼Á£¬ÊÇѧУ¾ÍÈ¥
ÒѾÓÐ7È˻ظ´
É격26Äê
ÒѾÓÐ3È˻ظ´
Ò»Ö¾Ô¸¼ªÁÖ´óѧ²ÄÁÏѧ˶321Çóµ÷¼Á
ÒѾÓÐ10È˻ظ´
ÄäÃû
Óû§×¢Ïú (ÕýʽдÊÖ)
- Ó¦Öú: 0 (Ó×¶ùÔ°)
- ½ð±Ò: 1463.4
- É¢½ð: 384
- ºì»¨: 1
- ɳ·¢: 9
- Ìû×Ó: 680
- ÔÚÏß: 81.3Сʱ
- ³æºÅ: 0
- ×¢²á: 2016-11-07
- ÐÔ±ð: GG
- רҵ: ½»Í¨¹¤³Ì
2Â¥2017-06-29 09:33:33













»Ø¸´´ËÂ¥