| 查看: 1205 | 回复: 3 | ||
[求助]
求助数学专业大神,图片中符号是什么意思? 已有1人参与
|
|
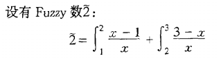
求助数学专业各位大神! 我是机械专业的,课题用到模糊理论,最近一直在看《模糊理论基础》,但是有些例题不太明白。。。 图片中的符号,为什么只有积分符号、但是后面没有dx的符号呢? 多谢多谢! 捕获.PNG |
» 猜你喜欢
有院领导为了换新车,用横向课题经费买了俩车
已经有9人回复
酰胺脱乙酰基
已经有13人回复
博士延得我,科研能力直往上蹿
已经有8人回复
同年申请2项不同项目,第1个项目里不写第2个项目的信息,可以吗
已经有4人回复
有时候真觉得大城市人没有县城人甚至个体户幸福
已经有10人回复
天津大学招2026.09的博士生,欢迎大家推荐交流(博导是本人)
已经有5人回复
CSC & MSCA 博洛尼亚大学能源材料课题组博士/博士后招生|MSCA经费充足、排名优
已经有6人回复
面上项目申报
已经有3人回复
遇见不省心的家人很难过
已经有22人回复

|
本帖内容被屏蔽 |
2楼2017-06-26 18:21:45
shyh2009
木虫 (著名写手)
- 应助: 14 (小学生)
- 金币: 3809.7
- 散金: 8115
- 红花: 14
- 沙发: 1
- 帖子: 1552
- 在线: 589.6小时
- 虫号: 835322
- 注册: 2009-08-27
- 性别: GG
- 专业: 应用数学方法
【答案】应助回帖
★ ★ ★ ★ ★ ★ ★ ★ ★ ★ ★ ★ ★ ★ ★ ★ ★ ★ ★ ★
感谢参与,应助指数 +1
雪漫蔷薇: 金币+20, ★★★★★最佳答案 2017-06-30 09:12:53
感谢参与,应助指数 +1
雪漫蔷薇: 金币+20, ★★★★★最佳答案 2017-06-30 09:12:53
|
这是模糊数的一种表示,并不是积分,表示在1到2区间上变量x的表达式为x-1,2到3区间上表达式为3-x的模糊数2 发自小木虫Android客户端 |
3楼2017-06-29 00:08:34

4楼2017-06-30 09:12:46













回复此楼